發布日期:2025-10-1 10:35:28
隨著電子信息技術的高速發展,電子產品日趨小型化與智能化,但熱流密度的急劇攀升導致器件散熱問 題愈發嚴峻。有統計報告指出[1], 超過 55% 的電子器件失效是由溫度過高引發的,因此熱管理成為電子器 件熱設計的核心技術。薄型電子器件的芯片具有散熱空間受限和短時發熱量大的特點。風冷、液冷等主動熱管 理方案的散熱效率受限于空氣與冷卻液的固有低導熱性,且需配置復雜管路與驅動系統,存在能耗高、體積 大等瓶頸,難以適配具有嚴苛空間約束要求的超薄型電子器件[2-3]。顯熱儲熱的被動熱管理方案 (如鋁合 金、銅合金結構件熱容消耗式冷卻) 雖具備結構緊湊優勢,但顯熱材料因熱容量有限,難以應對短時高熱流 密度工況[4]。
相變潛熱儲熱技術作為一種無源被動冷卻方式,通過材料相變過程中的潛熱吸收和釋放實現高密度能量調控 。常用的材料分為固 - 液相變材料和固 - 固相變材料[5], 在相變溫區內具有潛熱大和近似恒溫的特性, 可顯著提升高功率芯片的熱管理效率,同時滿足薄型電子器件對空間緊湊性與運行可靠性的嚴苛要求[6]。 然而,現有的相變材料存在明顯缺陷:以石蠟、無機鹽為代表的固 - 液相變材料雖具備高潛熱特性 (表 1), 但其固 - 液轉變會引發泄漏與腐蝕問題,因而往往依賴復雜的封裝工藝;同時其本征低導熱率(通常< 0.5 W.m-1.K-1) 導致熱響應遲緩,易引發局部過熱[7-8]。而高分子聚合物、多元醇等固 - 固相變材料雖規避 了漏液和腐蝕問題,卻普遍存在導熱率低(< 1 W.m-1.K-1)、力學強度不足等瓶頸。表 1 中的數據表明,傳 統固 - 液相變材料與有機固 - 固相變材料的力學強度普遍低于 200 MPa, 難以實現兼具結構承載與高效熱 管理的功能。因此,開發一種兼具高導熱性能和優異儲熱能力的新型固態相變材料,對于解決芯片的熱管理 難題具有重要的現實意義。
基于晶體結構轉變的固態相變合金,因其獨特的固 - 固相變特性和高導熱性能受到廣泛關注。2019 年, Sharar 等[10] 首次驗證了 Ni–Ti 二元合金作為固態相變材料的可行性,其體積潛熱與常規固 - 液相變 材料相當,同時展現出17.6 W.m-1.K-1 的高導熱率,綜合儲熱性能更優異。該合金兼具熱彈性馬氏體相變 特征 (低溫馬氏體↔高溫奧氏體可逆轉變) 與優異的力學強度,相變過程體積變化率低于 0.1%, 且通過成分 設計 (如添加 Cu、Hf 等第三組元)、熱處理工藝等手段,可進一步精準調控相變溫度 (調控范圍達-50~500 ℃ ) 與相變焓值(>20 J.g-1)[11-13]。研究顯示,Ni50.28Ti49.36 (原子分數,下同) 合金的儲熱量較 6061 鋁合金提升 154%, 較鋁合金灌裝正十八醇 (固 - 液相變材料) 提升 28%, 而其功率密度較 6061 鋁合金提 升 109%, 較鋁合金灌裝正十八醇提升 3%[14]。與VO₂等無機相變材料相比,Ni50.14Ti49.86合金的有效儲熱 能力提高約 0.5 倍,導熱率提升近 2 倍[15], 特別適用于薄型電子器件的芯片瞬態熱管理。然而,傳統 Ni–Ti 二元合金存在相變溫區過寬(>50 ℃)的缺陷,導致熱循環效率降低,難以適配窄溫度窗口(< 20 ℃) 的場景需求。近期,Trehern 等[16] 通過成分調控實現 Ti–Ni–Cu 合金的相變溫區縮窄至 12~20 ℃。相 變窄溫區是薄型電子器件精密溫控材料實現快速響應的關鍵因素,對于需要快速響應的材料具有重要的應用 價值。需要指出的是,當前固態相變合金在芯片熱管理領域的研究仍存在關鍵科學問題待解決:其一,現有 研究多聚焦于材料本征性能表征,缺乏近工況條件下 (如毫米級空間約束、瞬態熱沖擊等) 的系統性實驗驗 證;其二,針對芯片熱管理核心參數 (如加熱功率、儲熱合金層厚度等) 對溫控性能的定量化調控機制尚未 闡明,制約著固態相變合金的工程化應用進程。
本工作針對上述科學問題開展系統性研究:創新性構建應用 Ti–Ni 基合金的芯片熱管理參數化模型,系統 揭示加熱功率 (2~8 W) 與儲熱層厚度 (2~6 mm) 對瞬態溫升行為的耦合作用機制。通過對比 6061 鋁合金、 H62 銅合金等傳統顯熱材料的熱管理特性,闡明固態相變合金進行熱管理時相變潛熱與高導熱的協同強化機 理。實驗結果表明,Ti–Ni 基合金在毫米級空間約束下可有效抑制溫升速率達 82%, 實現結構承載與智能熱 調控功能的一體化,為高性能芯片熱管理系統的微型化設計提供了理論依據與工程指導。
表 1 現有冷卻技術和物性參數概覽
Table 1 Overview of existing cooling technologies and physical properties
| Cooling type | Material/ Structure | Density / (g.cm -3 ) | Latent heat | Specific heat capacity / (J.g -1 .K -1 ) | Thermal conductivity/ (W.m -1 .K -1 ) | Thermal control time | Thermal expansion/ (10 -6 K – 1 ) | Mechanical strength/MPa | Packaging |
| Sensible heat of structural materials | Aluminum alloy | Low (≈2.7) | No | Medium (≈0.9) | High (≈144) | - | High (≈20) | High (>200) | No |
| Sensible heat of structural materials | Copper alloy | High (≈8.4) | No | Medium (≈0.4) | High (≈128) | Short time (seconds to one minute) | Medium (≈15) | High (>200) | No |
| Sensible heat of structural materials | Titanium alloy | Medium (≈4.3) | No | Medium (≈0.5) | Medium (≈8) | Short time (seconds to one minute) | Low (<10) | High (>200) | No |
| Sensible heat of structural materials | Magnesium alloy | Low (≈1.8) | No | High (≈1.1) | High (≈102) | Short time (seconds to one minute) | High (≈25) | High (>200) | No |
| Sensible heat + Latent heat of structural materials (Solid-state phase transformation materials, Ti–Ni-based) | Ti–Ni-based solid-state phase transformation alloy | Medium (≈6.4) | Yes | Without phase change:≈0.5; during phase change:≈3.1 | Without phase change:≈12; during phase change:≈72 | Short and medium time (seconds to ten minutes) | Low (≈11) | High (>200) | No |
| Latent heat of phase transformation materials | Paraffin | Low (≈0.9) | Yes | High (≈2.0) | Low (<0.5) | Medium time (five minutes and above) | High (≈100) | Low (<200) | Yes |
| Latent heat of phase transformation materials | KNO₃ | Low (≈2.1) | Yes | High (≈1.4) | Low (≈0.5) | Medium time (five minutes and above) | High (>100) | / | Yes |
| Latent heat of phase transformation materials | Liquid metal (Ga–In–Sn) | Medium (≈6.4) | Yes | Medium (≈0.4) | Medium (≈17) | Medium time (five minutes and above) | High (>100) | / | Yes |
| Latent heat of phase transformation materials | Polyhydric alcohols | Low (≈1.0) | Yes | High (≈2.0) | Low (<1) | Medium time (five minutes and above) | High (~60) | Low (<200) | Yes |
| Air cooling | Fan/ Air channel | Low (<1.0) | No | High (≈1.0) | Low (<1) | Long time (run continuously) | High (≈34) | / | Yes |
| Liquid cooling | Coolant / Pipeline | Low (≈1.0) | No | High (≈4.2) | Low (<1) | Long time (run continuously) | High (≈60) | / | Yes |
1、實驗材料與方法
1.1 實驗材料
實驗所用固態相變合金的名義成分為Ti50.0Ni(50-x)Cux (x= 5,7,7.5,8,10)。采用真空感應熔煉爐 進行合金熔煉,在氬氣保護氣氛下 (減少元素在熔煉時的氧化和揮發), 熔煉高純度 Ti (99.97%)、Ni (99.99%)、Cu (99.99%) 原料制備鑄錠,重熔四次以保證成分均勻。鑄錠冷卻后取出,置于箱式電阻爐中,在 約為 1000 ℃條件下均勻化處理 24 h 后水淬。之后,鑄錠經 850~950 ℃處理并進行熱軋,每道次軋下量為 0.1~0.5 mm, 最終制得厚度為 3 mm 的板材。為對比分析溫控性能,采用商業的 6061 鋁合金、H62 銅合金、 TC4 鈦合金和 AZ31B 鎂合金。利用線切割加工出直徑為 10 mm, 厚度為 1 mm 的試樣 (圖 1)。

1.2 熱物性參數測試
通過實驗測試了 Ti–Ni–Cu 固態相變合金和 6061 鋁合金、H62 銅合金、TC4 鈦合金、AZ31B 鎂合金的熱 物性參數。采用阿基米德法測試合金的密度 (YDK03), 具體過程為:測試試樣在空氣中的質量(Wa)和利用吊a 浸沒在去離子水中后的質量(W1), 并根據測試環境溫度 (23.3 ℃) 確定去離子水的密度(ρl ), 合金材料的密度(ρ)由公式ρ=ρ1×Wa/(Wa-W1)計算得到,重復測試三次取平均值。采用差示掃描量熱法 (DSC,TA250) 以測試試樣的 相變溫度和相變潛熱,掃描溫度范圍在-50~150 ℃, 升降溫速率10 K.min-1, 氮氣保護。針對 DSC 曲線,采用切線法 確定 Ti–Ni–Cu 合金的相變溫度,并通過曲線積分法確定合金的相變潛熱。以藍寶石為標準試樣,采用三 步法測試試樣的比熱容(cp)。
激光導熱儀 (LEA467) 測試試樣的熱擴散系數(α), 合金試樣的導熱系數(k)由公式k=ρ.cp.α計算得到。測得的密度、比熱容和導熱系數見表 1。
1.3 溫控性能測試
本實驗采用 Ti50.0Ni43.0Cu7.0合金作為代表性固態相變合金,利用自主搭建的多參數溫控測試平臺對 該合金和顯熱材料的溫控性能進行對比實驗。測試平臺 (見圖 2a) 主要由穩壓電源、電加熱片、儲熱材料、熱 電偶、數據記錄儀、防風盒、玻璃纖維絕熱材料等組成。穩壓電源和電加熱片模擬芯片熱源,采用 T 型熱電偶 測試芯片的表面溫度,并由數據記錄儀采集。防風盒可以減小周圍空氣對流對實驗的影響,同時在防風盒上 布置一根熱電偶用于監測環境溫度。如圖 2 (b) 所示,芯片與 Ti–Ni–Cu 合金、絕熱材料之間,以及多個 直徑 10 mm× 厚度 1 mm 的合金圓片試樣之間,分別均勻涂一層導熱硅脂 (導熱系數為 14 W.m-1.K-1)以減少接觸熱阻。通過連接不同數量的試樣和改變電源設置,可形成不同儲熱合金層厚度和加 熱功率的條件。初始條件為室溫,記錄在不同溫控條件下芯片的溫度 - 時間曲線,每種條件下進行兩次測試 。

2、實驗結果
2.1 固態相變合金的相變特性
圖 3 為 Ti–Ni–Cu 合金和四種顯熱材料的相變特性。Ti–Ni–Cu 合金試樣在升溫和降溫過程中表現出 明顯的吸熱峰和放熱峰,表明合金發生了相轉變。Ti–Ni–Cu 合金具有一階可逆馬氏體相變特性,能夠發生 由低溫馬氏體↔高溫奧氏體的固 - 固相變[17]。四個相變溫度點分別為:升溫時的奧氏體相變開始溫度 (Af),64 ℃, 奧氏體相變結束 溫度(Af),83 ℃; 降溫時的馬 氏體相變開始溫度(Ms),60 ℃ , 馬氏體相變結束溫度(Mf),48 ℃。相變潛熱分別為:馬氏體相變潛熱(∆HA→M),29.7 J.g-1 和奧氏體相變潛熱(∆HM→A),29.6 J.g-1。其余四種顯熱合金試樣的 DSC 曲線均為水平直線,表明沒有發生相轉變。
根據材料的密度、比熱容和相變潛熱等熱物性參數計算得到 Ti–Ni–Cu 固態相變合金與四種顯熱材料在 60~90 ℃升溫過程中的理論儲熱量,作為儲熱材料溫控性能判斷的定性參考[18], 對比結果如圖 4 所示。 從圖 4 (a) 可以看出,Ti–Ni–Cu 合金的單位體積儲熱量達285.4 J.cm-3;, 顯著高于四種顯熱材 料的單位體積儲熱量,分別是 6061 鋁合金、H62 銅合金儲熱量的 3.9 倍和 2.8 倍。因此,為完成相同的儲 熱效果,采用 Ti–Ni–Cu 固態相變合金時所占用的空間更小[19]。H62 銅合金的單位體積儲熱量在四種顯 熱材料中較大,這是由于銅合金的體積比熱容相比其他顯熱材料更高 (見表 1)。圖 4 (b) 中單位質量儲熱 量的對比結果同樣顯示出,Ti–Ni–Cu 合金具有顯著的儲熱優勢。對于固態相變材料,在整個溫度區間內, 其儲存的總熱量為顯熱和潛熱的總和[20]。Ti–Ni–Cu 合金疊加了本征比熱容和固態相變帶來的等效比熱 容,其中本征比熱容為0.5 J.g-1.K-1, 固態相變的等效比熱容為3.1 J.g-1.K-1, 實現44.6 J.g-1的綜合儲熱量 (約為鋁合金的 1.7 倍,銅合金的 3.7 倍)
固態相變合金在薄型電子器件的熱管理中展現出動態自適應特性。以中央處理器 (CPU) 為例:在低功率穩態 運行時,合金維持馬氏體態,通過顯熱儲熱與自然對流協同散熱;當功率升高從而使器件溫度達到 As點時,合金觸發馬氏體→奧氏 體轉變,利用相變潛熱吸收瞬時熱流,可有效抑制芯片溫升,直至相變完成 (器件溫度達到Af點)。在此過程中,合金的導熱率隨相變進程 動態提升 (見表 1), 形成 “顯熱吸收 - 潛熱緩沖” 協同機制。當溫度回落至Ms點以下時,合金通過逆向相變釋放儲存的熱量,逐漸恢復 至馬氏體態,從而實現對電子器件的循環冷卻調控。

相比之下,6061 鋁合金、H62 銅合金等顯熱材料僅依賴自身的熱容儲熱,無法通過相變潛熱來緩沖瞬態熱沖 擊,導致高功率下芯片的溫升速率顯著加快。而 Ti–Ni–Cu 合金的獨特優勢在于:其一階可逆相變特性使 其兼具顯熱材料的結構強度 (與鋁合金 / 銅合金相當,見表 1) 與相變材料的高儲熱密度,既可承載機械 應力,又能在寬功率范圍內通過 “顯熱吸收 - 潛熱緩沖” 雙模式自適應調控芯片的熱流。這種 “力學 - 熱學” 功能一體化特性,使其在毫米級電子器件中展現出傳統材料難以實現的瞬態熱管理潛力。

2.2 固態相變合金的溫控性能
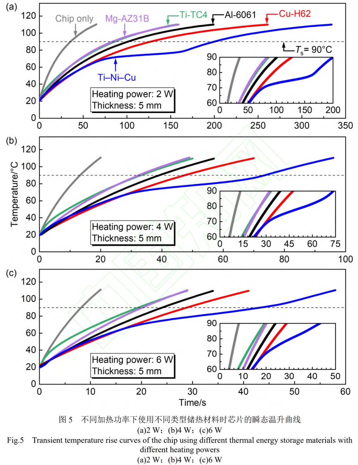
本實驗采用的 Ti–Ni–Cu 合金適配于典型工作溫區 (50~90 ℃) 的薄型電子器件。基于此,設定芯片的 臨界溫度Ts為 90 ℃以評估材料 的溫控性能。圖 5 給出儲熱合金層厚度為 5 mm 時采用不同類型儲熱材料的情況下芯片的瞬態溫升曲線,展 示了加熱功率分別為 2、4 W 以及 6 W 時的熱響應特性。由圖 5 (a) 可知,無儲熱材料時曲線的斜率較大, 芯片僅依靠自身結構自然散熱,溫度隨時間的延長快速升高,在 36 s 時即突破Ts。添加儲熱材料后,曲線的斜率變小,芯片的溫升 速率顯著降低,其中 Ti–Ni–Cu 合金的溫控延時效果最為突出,達到Ts的時間延長至 200 s, 是無儲熱材料情況時的近 6 倍,溫升速 率降低約 82%。對于顯熱材料,H62 銅合金 (127 s)、6061 鋁合金 (101 s) 等雖可延緩溫升,但其性能仍與 固態相變合金存在顯著差距。
進一步分析發現,采用不同材料時芯片的溫升曲線斜率差異源于材料比熱容與導熱率的綜合作用[21]。例如 ,H62 銅合金雖具有高導熱性,但其低比熱容導致顯熱儲熱能力有限。在相變溫區內,Ti–Ni–Cu 合金通過 馬氏體→奧氏體相變過程中高比熱容(3.1 J.g-1.K-1)與高導熱率(72 W.m-1.K-1,見表 1)的協同,形成 “溫度緩升平臺”(見圖 5), 從而實現更長效的熱緩沖。下面進行 具體分析。
采用 Ti–Ni–Cu 固態相變合金時的瞬態溫升曲線呈現上升 - 平緩 - 上升的典型三階段特征 (見圖 5), 顯著區別于采用顯熱材料的情況。具體而言:在 0~75 s 內,合金處于馬氏體態,芯片的溫度隨時間的增加 而快速上升 (溫升速率0.69 ℃.s-1, 見圖 5 (a)), 其產生的熱量主要被合金以顯熱的形式 儲存;75~160 s 期間,合金觸發奧氏體相變,利用相變潛熱開始大量吸收熱量,使得芯片的溫升速率降至 0.08 ℃.s-1, 形成明顯溫升平臺;隨著合金逐漸轉變為奧氏體態,在 160 s 時芯片的溫度再次開 始隨時間增加而快速上升 (溫升速率 0.26 ℃.s-1)。溫升平臺的形成與晶體結構轉變的潛熱調控機 制直接相關:相變過程中,晶格重構消耗大量熱源產生的熱量,同時相變伴隨的高導熱率加速熱量擴散,形 成動態熱緩沖效應。
對比不同功率工況發現,在 2 W 和 4 W 條件下合金在芯片升溫至 90 ℃時已完成奧氏體轉變 (圖 5 (a),(b)), 而在 6 W 高功率時,部分合金仍維持馬氏體態 (圖 5 (c)), 表明儲熱合金層厚度 (5 mm) 與導 熱率限制了相變進程的全局同步性。盡管如此,Ti–Ni–Cu 合金的溫控性能仍然優于顯熱材料:溫控性能排 序為 Ti–Ni–Cu 合金 > H62 銅合金 > 6061 鋁合金 > TC4 鈦合金 > AZ31B 鎂合金,與材 料單位體積儲熱量趨勢 (圖 4 (a)) 一致。因此,固態相變合金通過 “顯熱吸收 - 潛熱緩沖” 協同機制可 有效減緩芯片的溫升速率,對于芯片的瞬態熱管理具有明顯的優勢。

2.3 加熱功率和儲熱合金層厚度對溫控性能的影響
圖 6 展示了加熱功率與儲熱合金層厚度對 Ti–Ni–Cu 合金溫控性能的影響規律。橫向對比不同加熱功 率 (2~8 W) 下的瞬態溫升曲線 (圖 6 左至右) 可見:隨著功率的增大,芯片的溫升速率加快,臨界溫度 (90 ℃) 到達時間顯著縮短。例如,在相同儲熱合金層厚度下,功率由 2 W 增至 8 W 時,臨界溫度到達時 間縮短約 87%。高功率條件下 (6~8 W), 合金相變速率提升且相變持續時間縮減,曲線中的溫度緩升平臺逐 漸消失,這是因為熱流密度的增加,加速了合金顯熱 / 潛熱吸收進程[22]。值得注意的是,低功率 (2~4 W) 時合金在芯片達到臨界溫度前已完成奧氏體相變;而高功率下,部分合金仍維持馬氏體態,導致其與鋁 合金 / 銅合金的溫控性能差異減小。
縱向對比儲熱合金層厚度 (2~6 mm) 的影響 (圖 6 上至下) 表明:厚度增加可顯著延緩芯片的溫升,臨界 溫度到達時間隨厚度呈非線性延長。例如,4 W 功率下厚度由 2 mm 增至 6 mm 時,臨界溫度到達時間約延 長 140%。這歸因于在合金本征比熱容與潛熱等效比熱容的基礎上增加厚度,系統總儲熱量的增加使相變起始 時間推遲,相變持續時間延長[22]。此外,適當增加厚度還增強了熱流分布的均勻性,抑制局部過熱現象, 為窄溫度窗口的調控提供了優化路徑。

3、分析與討論
圖 7 揭示了儲熱合金層厚度(h)與 加熱功率(p)對臨界溫度到達時間 (tc)的耦合影響規律。對于 Ti –Ni–Cu 合金、6061 鋁合金和 H62 銅合金,tc均隨ℎ增大呈二次函數增長規律,隨p升高呈指數衰減規律,其中,采用 Ti–Ni–Cu 合金時,二次函數增長可近似為 tc∝h2, 指數衰減可近似為tc∝p-1.4。在相同工況下,Ti–Ni–Cu 合金展現出顯著的溫控 優勢:2 W 功率、5 mm 厚度時,其tc較鋁合金延長 96%;2 W 功率、4 mm 厚度時,較銅合金延長 73%。這表明固態相變合金通過相 變潛熱吸收機制,可有效延緩溫升速率,擴展器件在臨界溫度下的安全窗口[23]。

值得注意的是,高功率 (6~8 W) 下tc-h曲線存在極值現象:當h=5mm時tc達到峰值,繼續增厚反而導致溫控性能下降 (見圖 7)。這源于過厚的儲熱合金層加劇了相變進程的空間非均勻性,部分區域因熱阻累積未能觸發有效相變。因此,實際應用中需權衡儲熱合金層厚度與功率載荷的匹配關系,以優化熱管理效能。
4、結論
(1) 高密度儲熱性能:Ti–Ni 基固態相變合金通過馬氏體↔奧氏體可逆相變,協同本征比熱容與相變潛 熱,實現單位體積儲熱量285.4 J.cm-3, 分別約為 6061 鋁合金與 H62 銅合金的 3.9 倍和 2.8 倍;單位質量儲熱量達44.6 J.g-1, 分別約為 6061 鋁合金與 H62 銅合金的 1.7 倍和 3.7 倍。
(2) 溫控性能優勢:在 2~8 W 加熱功率和 2~6 mm 的儲熱合金層厚度條件下,Ti–Ni 基固態相變合金可使 芯片溫升速率較使用前最高降低約 82%, 臨界溫度 (90 ℃) 到達時間較鋁合金與銅合金分別最高延長約 96% 與 73%。
(3) 參數調控規律:臨界溫度到達時間與儲熱合金層厚度呈二次函數正相關,與加熱功率呈指數負相關。增 加固態相變合金層厚度,可通過提升本征比熱容延遲相變起始時間,提升潛熱等效比熱容擴展相變持續時間 。而升高功率會加速熱流傳遞,導致相變同步性降低。
參考文獻
[1] 王美妮,聞利群。電子設備高溫環境熱控制實驗研究[J]. 熱處理技術與裝備,2014,35 (1): 50- 53. WANG M N, WEN L Q. Experimental study on thermal control of electronic equipment in high temperature environment[J]. Heat Treatment Technology and Equipment, 2014,35 (1): 50-53.
[2] 辛曉峰,錢吉裕,夏艷。有源相控陣導引頭的熱設計研究[J]. 現代雷達,2020,42 (10): 86-90. XIN X F, QIAN J Y, XIA Y. A study on thermal design for active phased array radar seeker[J]. Modern Radar, 2020,42 (10): 86-90.
[3] 吳延鵬,劉乾隆,田東民,等。相變材料與熱管耦合的電子器件熱管理研究進展[J]. 化工學報, 2023,74 (增刊 1): 25-31. WU Y P, LIU Q L, TIAN D M, et al.A review of coupling PCM modules with heat pipes for electronic thermal management[J]. CIESC Journal, 2023,74 (Suppl 1): 25- 31.
[4] 陳建輝,白小峰,張忠政,等。彈載功放相變儲熱熱沉的數值分析與實驗研究[J]. 低溫與超導, 2018,46 (10): 67-71. CHEN J H, BAI X F, ZHANG Z Z, et al. Numerical and experimental study on phase change materials heat sink in missile electronics[J]. Cryogenics & Superconductivity, 2018,46 (10): 67-71.
[5] 周四麗,張正國,方曉明。固 - 固相變儲熱材料的研究進展[J]. 化工進展,2021,40 (3): 1371- 1383. ZHOU S L, ZHANG Z G, FANG X M. Research progress of solid-solid phase change materials for thermal energy storage[J]. Chemical Industry and Engineering Progress, 2021,40 (3): 1371 -1383.
[6] ZHI M, YUE S, ZHENG L, et al. Recent developments in solid-solid phase change materials for thermal energy storage applications[J]. Journal of Energy Storage, 2024, 89: 111570.
[7] 李響。一種彈載電子產品儲熱裝置的設計與試驗[J]. 電子機械工程,2018,34 (2): 13-16. LI X. Design and test of a thermal energy storage device in missile electronics[J]. Electro- Mechanical Engineering, 2018,34 (2): 13-16.
[8] 高學農,劉欣,孫滔,等;趶秃舷嘧儾牧系碾娮有酒瑹峁芾硇阅苎芯縖J]. 高;瘜W工程學報, 2013,27 (2): 187-192. GAO X N, LIU X, SUN T, et al. Research on the thermal management performance of electronic chip with composite phase change material[J]. Journal of Chemical Engineering of Chinese Universities, 2013,27 (2): 187-192.
[9] 李天天,李寶讓,劉文潔,等。固 - 固相變儲熱及其材料制備和性能優化技術 (Ⅰ)[J]. 材料導報 ,2022,36 (5): 169-183. LI T T, LI B R, LIU W J, et al. Fabrication and performance optimization technology of materials for solid-solid phase change thermal energy storage (Ⅰ) [J]. Materials Reports, 2022,36 (5): 169-183.
[10] SHARAR D J, DONOVAN B F, WARZOHA R J, et al. Solid-state thermal energy storage using reversible martensitic transformations[J].Applied Physics Letters,2019,114(14): 143902.
[11] KATO H. Latent heat storage capacity of NiTi shape memory alloy[J]. Journal of Materials Science, 2021, 56(13): 8243-8250.
[12] HITE N, SHARAR D J, TREHERN W, et al. NiTiHf shape memory alloys as phase change thermal storage materials[J]. Acta Materialia, 2021, 218: 117175.
[13] LI S, HE L, LU H, et al. Ultrahigh-performance solid-solid phase change material for efficient, high-temperature thermal energy storage[J]. Acta Materialia, 2023, 249: 118852.
[14] SHARAR D J, LEFF A C, WILSON A A, et al. High-capacity high-power thermal energy storage using solid-solid martensitic transformations[J]. Applied Thermal Engineering, 2021, 187: 116490.
[15] BABA M, ISHIHARAJIMA H, ISHISAKA K, et al. Temperature-leveling performance comparison of solid-solid phase change materials for thermal management of electronic chips in thin devices[J]. Journal of Thermal Science and Technology, 2024, 19(1): 24-14-24-00014.
[16] TREHERN W, HITE N, ORTIZ-AYALA R, et al. NiTiCu shape memory alloys with ultra-low phase transformation range as solid-state phase change materials[J]. Acta Materialia, 2023, 260: 119310.
[17] REN X, MIURA N, ZHANG J, et al. A comparative study of elastic constants of Ti–Ni- based alloys prior to martensitic transformation[J]. Materials Science and Engineering: A, 2001, 312(1/2): 196-206.
[18] 閻德勁,蘇欣,賴復堯。相變合金溫控組件的制備及循環性能研究[J]. 新技術新工藝,2019 (4): 47-50. YAN D J, SU X, LAI F Y. Research on preparation and cyclic performance of phase change alloy thermal control module[J]. New Technology & New Process, 2019 (4): 47-50.
[19] DECKARD M, SHARAR D J, FISH M, et al. Phase change material behavior in finite thickness slabs under a step response heat[J]. Journal of Electronic Packaging, 2023, 145: 011201.
[20] RIBEZZO A, FALCIANI G, BERGAMASCO L, et al. An overview on the use of additives and preparation procedure in phase change materials for thermal energy storage with a focus on long term applications[J]. Journal of Energy Storage, 2022, 53: 105140.
[21] BABA M, NEMOTO K, OTAKI D, et al. Temperature leveling of electronic chips by solid- solid phase change materials compared to solid-liquid phase change materials[J]. International Journal of Heat and Mass Transfer, 2021, 179: 121731.
[22] HOSSEINIZADEH S F, TAN F L, MOOSANIA S M. Experimental and numerical studies on performance of PCM-based heat sink with different configurations of internal fins[J]. Applied Thermal Engineering, 2011, 31(17/18): 3827-3838.
[23] CHANG S, LIU B, MENG Y, et al. Experimental and numerical investigations on heat transfer characteristics of cascaded PCM heat sinks for thermal management of electronics[J]. Applied Thermal Engineering, 2025, 262: 125279.
基金項目:浙江省自然科學基金重點項目 (LZ23E010004); 天目山實驗室青年科學家項目 (TK-2024-C- 004); 國家自然科學基金面上項目 (52471194); 國家重點研發計劃青年科學家項目 (2022YFB3808700); 北 京航空航天大學科研敢為行動計劃重點項目 (502GWXM2024101003)
收稿日期:2025-05-22; 錄用日期:2025-06-19
通訊作者:侯慧龍 (1986-), 男,教授,博士,研究方向為高性能形狀記憶合金制備、固態相變性能及溫 控技術,聯系地址:浙江省杭州市余杭區瓶窯鎮雙紅橋街 166 號北京航空航天大學天目山實驗室 (311115),E-mail: huilong_hou@buaa.edu.cn
(注,原文標題:基于鈦鎳基合金固態相變的先進溫控技術及其在芯片熱管理中的應用)
tag標簽:高功率芯片,瞬態熱沖擊抑制,馬氏體相變,多模式熱緩沖,溫度平臺效應


