發布日期:2025-11-10 20:24:13
鈦合金具有密度小、比強度高、耐蝕性優異等 特點,廣泛應用于航空發動機葉片、機身結構件及 緊固件等關鍵部件的制備,是航空航天領域的理想 結構材料之一[1−2]。隨著航空航天領域對高性能材 料的迫切需求,鈦合金的綜合力學性能不斷提升。 研究表明,鈦合金的力學性能主要由組織決定[3−5], 然而,鈦合金的組織具有多樣性,多樣化的組織導 致其性能各不相同,甚至同一類型組織中顯微組織 特征參數(等軸α相的含量、晶粒尺寸以及片層α相 的厚度、長寬比)的差異也會顯著影響材料性能。 為滿足實際工況要求,需對鈦合金顯微組織進行調 控以獲得理想的綜合力學性能,但現有研究多聚焦 于熱處理工藝參數調整,該方法存在工藝優化過程 復雜、周期長等問題[6−9]。若能了解鈦合金組織與 力學性能的定量關系,將有效簡化最優熱處理制度 的探索過程,對組織和性能的調控具有重大參考價值。
Hall-Petch公式是組織−性能定量分析領域的理 論基礎之一,BHATTACHARJEE等[10]基于該公式 建立了Ti-10V-4.5Fe-3Al合金晶粒尺寸與強度、韌 性的定量關系,為后續研究提供了理論框架。GONG等[11]通過定量表征Ti-20C合金固溶時效處理 后的顯微組織,結合Hall-Petch公式與混合規律, 建立了等軸α相體積分數、晶粒尺寸等微觀組織參 數與屈服強度、斷裂伸長率的定量關系模型。隨著 機器學習技術的發展,部分學者開始運用BP人工 神經網絡研究定量關系,SHI等[12]采用此方法建立Ti-6Al-4V合金片狀α相、原始β晶粒尺寸與拉伸性 能之間的關系,所建立的關系具有良好的預測效 果。周建偉[13]對比分析了多元非線性回歸與BP人 工神經網絡在網籃狀組織特征參數與拉伸性能關聯 建模中的適用性,兩種方法的預測結果均與實驗值 高度吻合。WANG等[14]則通過多元非線性回歸方法 系統研究了TG6鈦合金片層α相厚度與拉伸性能的 定量關系,驗證了統計模型在特定組織參數分析中 的有效性。已有研究表明[15],鈦合金顯微組織特征 參數與力學性能之間的定量關系經驗模型常用的有 兩類:基于統計學的多元非線性回歸法和基于人工 智能的神經網絡模型法。一般而言,樣本數據較少 時,選用多元非線性回歸法精確度較高。
目前,對鈦合金顯微組織特征參數與力學性能 之間的定量關系研究并非空白,但已有成果在體系 完整性和普適性方面需要不斷完善。以典型高鋁當 量α+β鈦合金TC11(Ti-6.5Al-3.5Mo-1.5Zr-0.3Si)為 例[16],其在500℃以下兼具優異的高溫強度與抗蠕 變性能,廣泛應用于航空發動機高壓壓氣機盤及葉 片等熱端關鍵部件。然而,針對TC11合金顯微組 織特征參數與力學性能的定量關系研究仍較為缺 乏。因此,本研究通過采集不同固溶時效工藝下的顯微組織特征參數,構建其與室溫拉伸性能的定量 關系模型,以期為TC11合金的工程化應用提供理 論支撐。
1、實驗
本實驗以950℃下鍛造、變形量為35%的TC11鈦合金棒材為研究對象,通過連續升溫法測 得相變點為(980±5)℃。圖1(a)所示為試驗用TC11鈦合金棒材的低倍組織,可以看出原始組織為等軸 組織,α相尺寸各異且晶粒邊界不規則,與β相交 錯分布;圖1(b)所示為試驗用TC11鈦合金棒材XRD譜,可以看出主要由α相和β相衍射峰構成, 其中(002)和(101)晶面指數的衍射峰較強,無其他 明顯衍射峰,由此結合圖1(a)可知原始微觀組織由α相和β相組成。

為優化合金微觀組織,對棒材進行不同制度的 熱處理,熱處理工藝參數如表1所示。設置固溶溫 度分別為955℃、965℃、975℃、985℃,保溫1 h后 空 冷(AC), 隨 后 選 取 時 效 溫 度520℃ 、530℃、540℃,保溫6 h后進行AC處理,共制備12個樣品。利用光學顯微鏡和Gemini SEM 300場 發射掃描電子顯微鏡進行顯微組織觀察;采用D8 Advance X射線衍射儀對合金進行物相分析,衍射 儀X射線管采用銅靶,掃描范圍為30°~90°;使用INSTRON5985萬能拉伸試驗機測試拉伸實驗性能。 運用ImageJ軟件統計顯微組織中的等軸α相含量、 晶粒尺寸和片層α相厚度、長寬比。在測量中,隨 機選取樣品不同位置的3個區域,通過調整灰度閾 值自動區分α相與晶界;等軸α相含量由閾值分割 后的面積占比直接計算;晶粒尺寸通過統計顆粒的 等效圓直徑獲得;片層α參數通過手動測量多個位 置后取平均值,而長寬比則基于測量的厚度與長度數據計算得出。所有步驟重復3次以保證結果可 靠。基于二次多項式為模型,建立TC11鈦合金顯 微組織特征參數與力學性能的定量關系。
表 1 熱處理工藝參數
| Experimental material | Cooling method | Solution temperature/℃ | Aging temperature/℃ | Holding time/min | Heating rate/(℃·min⁻¹) |
| TC11 | AC | 955, 965, 975, 985 | 520, 530, 540 | Solution treatment: 60
Aging treatment: 360 |
2−10 |
2、實驗結果與分析
2.1 熱處理對TC11鈦合金顯微組織的影響
為了探究同一時效溫度下不同固溶溫度對TC11合金顯微組織的影響,選取經955~985℃固 溶后再經540℃時效的試樣觀察,結果如圖2所示。 當固溶溫度為955℃時(見圖2(a)),初生α相(以下 簡稱等軸α相)的等軸化程度相較原始組織顯著提 高,平均晶粒尺寸由原始態7.32 μm減小至4.22 μm;固溶溫度為965~975℃時,組織轉變為雙態 結構(見圖2(b)~(c)),并形成連續β晶界,等軸α相 含量由46.08%降至7.79%,具體表現為通過α→β的相轉變,使得α相持續溶解含量減少[17−18]。超過 相轉變溫度980℃后(見圖2(d)),等軸α相完全消 失,形成具有完整β晶界的典型魏氏組織。綜上所 述,固溶溫度會影響等軸α相的形態和含量。

時效是針對固溶冷卻后的組織,進行較低溫度 的保溫并空冷。為探究時效溫度對微觀組織的影 響,選取經975℃固溶后再經520~540℃時效的試 樣觀察,結果如圖3所示。在空冷條件下冷卻速度 較慢,β相優先沿晶界形核并向晶內生長,因此析 出的α相幾乎沒有等軸狀,此時的顯微組織均由等 軸α相、次生α相(后文稱為片層α相)和層間殘留β相組成,區別在于時效過程中所析出α相尺寸和形 態的差異[19−21]。當時效溫度為520℃時(見圖3(a)),β轉變組織內部出現細條狀或紡錘狀α形態,平均 厚度為0.47 μm,長寬比為62.48;540℃時效時形 成在β片層內整齊排列的細片層α形態(見圖3(c)), 平均厚度為0.41 μm,長寬比增大到115.67。研究 發現,溫度每升高10℃可使長寬比提升26.6,片 層α相厚度減小約0.03 μm。綜上分析可知,時效 溫度會影響片層α相的形態和含量。

固溶處理形成的α′、α″及亞穩β相在時效過程 中發生脫溶轉變[22],最終分解為α/β相。圖4(a)所 示為540℃時效時不同固溶溫度下的XRD譜,圖4 (b)所示為975℃固溶時不同時效溫度下的XRD譜。 可以發現固溶時效后組織主要由α相與β相構成, 未檢測到亞穩相(α′、α″或亞穩β相),這也進一步 證明時效會使組織中的亞穩相發生分解,最終形成α相與β相的結論。圖4(a)和圖4(b)中衍射峰差異主 要體現在α(002)、α(101)及β(110)峰強度變化。這 是由于加熱過程中合金元素發生了元素再分配現 象[23],α穩定元素(Al等)以及β穩定元素(Mo等)分 別向α相和β相中進行擴散,這種元素的選擇性富 集一方面會改變兩相的相對含量,另一方面,溶質 原子(Al、Mo等)在置換α/β相中Ti原子的晶格位置時,因原子半徑存在差異會引發晶格點陣的局部畸 變,進而影響特定晶面的衍射峰強度。

采用ImageJ軟件統計了等軸α相含量、晶粒尺 寸及片層α相厚度與長寬比,結果如表2所示。統 計結果表明:在同一時效溫度下,固溶溫度升高導 致等軸α相含量降低約14.8%,等軸α相晶粒尺寸 穩定在4~6 μm;在同一固溶溫度下,時效溫度每 升高10℃,片層α相長寬比平均增加13.31。
表 2 TC11 鈦合金不同熱處理制度下顯微組織的特征參數
| Solution temperature/℃ | Aging temperature/℃ | Equiaxed α phase content/% | Equiaxed α phase grain size/μm | Lamellar α phase thickness/μm | Lamellar α phase aspect ratio |
| 955 | 520 | 43.76(±1.01) | 4.53(±0.41) | 0.11(±0.08) | 23.82(±2.60) |
| 965 | 520 | 25.83(±1.20) | 5.16(±0.92) | 0.36(±0.10) | 57.67(±4.37) |
| 975 | 520 | 20.53(±1.06) | 5.59(±0.87) | 0.47(±0.10) | 62.48(±2.70) |
| 985 | 520 | 0 | 0 | 0.33(±0.95) | 181.79(±5.33) |
| 955 | 530 | 43.8(±1.40) | 3.92(±0.65) | 0.19(±0.03) | 17.79(±2.00) |
| 965 | 530 | 24.99(±1.05) | 5.07(±0.57) | 0.41(±0.07) | 64.05(±3.31) |
| 975 | 530 | 2.28(±1.00) | 5.93(±0.68) | 0.43(±0.06) | 66.95(±4.32) |
| 985 | 530 | 0 | 0 | 0.38(±0.02) | 225.32(±5.01) |
| 955 | 540 | 46.08(±1.42) | 4.22(±0.45) | 0.15(±0.00) | 20(±1.69) |
| 965 | 540 | 20.73(±1.00) | 5.72(±0.66) | 0.38(±0.08) | 61.06(±3.65) |
| 975 | 540 | 7.79(±0.96) | 5.76(±0.52) | 0.41(±0.12) | 115.67(±4.59) |
| 985 | 540 | 0 | 0 | 0.35(±0.14) | 205.08(±6.01) |
2.2 熱處理對TC11鈦合金力學性能的影響
2.2.1 TC11鈦合金室溫拉伸性能分析
表3所示為TC11鈦合金在不同熱處理制度下 的室溫拉伸性能,為方便觀測,繪制成統計圖,如 圖5所示。在固定時效溫度下,材料力學性能隨固 溶溫度升高呈現兩階段演變規律:第一階段是固溶 溫度為955~965℃時,材料強度逐漸降低,塑性略 微上升,抗拉強度(Ultimate tensile strength,UTS,σb)、屈服強度(Yield strength,YS,σs)降低的變化 范圍在80~100 MPa以內,伸長率(Elongation,EL,η)和斷面收縮率(Reduction of area,RA,A)則分別 提升1.5%和2%。此現象歸因于低溫固溶條件下, 等軸α相含量較多,變形可以分散到鄰近的晶粒中 去,防止個別晶粒產生應力集中現象而導致開裂, 因此宏觀上表現為良好的塑性和較低的強度。第二 階段則是在固溶溫度從965℃上升至985℃區間 內,材料強度增加而塑性下降。在固溶溫度為955℃時強度最高,塑性優異,而在965℃時塑性 最佳,強度最差。出現上述變化趨勢的主要原因是 隨著固溶溫度的升高,組織形態發生改變,由等軸 組織逐漸轉變為雙態組織以及魏氏組織,等軸α相 含量減少,片層α相長寬比增加,對位錯運動的阻 礙加大,而塑性變形正是由于位錯的滑移、攀移等 引起的[24−26],所以強度會有升高的趨勢。
表 3 TC11 鈦合金熱處理后室溫拉伸性能
| Solution temperature/℃ | Aging temperature/℃ | UTS/MPa | YS/MPa | EL/% | RA/% |
| 955 | 520 | 1207.00 | 1090.00 | 15.00 | 45.00 |
| 965 | 520 | 1136.00 | 978.00 | 16.50 | 47.00 |
| 975 | 520 | 1139.00 | 979.00 | 16.50 | 41.00 |
| 985 | 520 | 1170.00 | 960.00 | 8.00 | 10.00 |
| 955 | 530 | 1205.00 | 1097.00 | 15.00 | 42.00 |
| 965 | 530 | 1128.00 | 976.00 | 16.00 | 42.00 |
| 975 | 530 | 1123.00 | 974.00 | 14.50 | 35.00 |
| 985 | 530 | 1137.00 | 947.00 | 8.60 | 9.80 |
| 955 | 540 | 1193.00 | 1097.00 | 16.00 | 37.00 |
| 965 | 540 | 1119.00 | 972.00 | 17.50 | 45.00 |
| 975 | 540 | 1114.00 | 962.00 | 15.00 | 37.00 |
| 985 | 540 | 1153.00 | 987.00 | 10.00 | 12.00 |
對比同一個固溶溫度下不同時效溫度對應的拉 伸性能數據可以發現(見圖5),各曲線走勢相近, 不同時效溫度下的拉伸性能并無明顯差別。具體而 言,當時效溫度在520~540℃范圍內波動時,對合 金力學性能的影響微弱。這表明,在固溶時效處理 過程中,固溶處理能夠在較大范圍內調整合金的強塑性;時效溫度的微小改變對材料力學性能的影響 則較小。本研究結果與張明玉[24]對TC10鈦合金的 研究結論有相似之處,即時效溫度的適度調整對最 終性能影響有限。

2.2.2 顯微組織特征參數與力學性能的定量研究
鈦合金中等軸α相含量和晶粒尺寸以及片層α相長寬比和厚度等特征參數被認為是影響鈦合金性 能的重要組織參數[27−28]。圖6所示為TC11鈦合金等軸α相含量與室溫拉伸性能的統計關系,其中藍 色曲線代表強度隨等軸α相含量的變化趨勢,隨著 等軸α相含量升高,強度先降低后升高;紅色曲線 則通過伸長率和斷面收縮率,體現合金塑性與等軸α相含量的變化規律,表現為塑性隨著等軸α相數 量的增加先升高后降低。在借助二次多項式函數研 究組織−性能的定量關系時,相關系數用于衡量因 變量和自變量之間的相關程度[29−30]。經研究,該合 金的抗拉強度和屈服強度與等軸α相含量的相關系 數R2分別為0.846和0.959,而伸長率和斷面收縮率 的相關系數R2分別為0.715和0.737。由此可見,等 軸α相含量對強度的影響更為顯著。當等軸α相含 量較多,大約保持在35%~46%之間,α相可視為該 狀態下的主導相,相比于具有體心立方結構的β相,α相的滑移系少,位錯在滑移過程中可采取的 空間位向小,這在一定程度上限制了塑性變形能 力,進而促使抗拉強度和屈服強度升高。

通過對TC11鈦合金等軸α相晶粒尺寸與室溫 拉伸性能關系的統計分析,結果如圖7所示。由圖7可以看出,隨著等軸α相晶粒尺寸的增加,合金 的強度先升高而后逐漸下降,塑性則持續升高并維 持在較高水平。分析主要原因是產生了細晶強化效 應[31−32]。當等軸α相晶粒尺寸在1~4 μm區間時,細 小的晶粒結構通過增加晶界密度有效阻礙位錯運 動,同時彌散分布的晶粒促使變形均勻化,這種協 同作用使材料在提升強度的同時獲得優異的塑性變 形能力。隨著晶粒尺寸進一步增大(>4 μm),晶界 對位錯運動的阻礙作用減弱,導致細晶強化效應減 弱,合金綜合力學性能下降。合金的抗拉強度和屈 服強度與等軸α相尺寸的相關系數R2分別為0.648和0.750,而伸長率和斷面收縮率的相關系數R2分 別為0.923和0.933。由此可知,等軸α相尺寸主要 影響材料的塑性。GONG等[11]研究表明,在Ti20C合金中,等軸α相的等效圓直徑與斷裂伸長率呈顯 著正相關,其尺寸的增加可有效提升塑性,這與本 研究中通過優化等軸α尺寸改善材料塑性的結論一致。

合金的抗拉強度和屈服強度與片層α相厚度的 相關系數R2分別為0.841和0.880,伸長率和斷面收 縮率的相關系數R2分別為0.244和0.250,由此可 知,片層α相厚度對TC11的強度影響較深,對塑 性影響相對微弱。圖8所示為TC11鈦合金片層α相 厚度與室溫拉伸性能的關系曲線。

由圖8可以看 出,抗拉強度和屈服強度會隨著片層α相厚度的增 加而持續下降,而伸長率和斷面收縮率則出現先下 降后升高的趨勢。當片層α相的厚度在0.1~0.2 μm區間時,因厚度相對較小,位錯容易切過α相[33], 由于α相與β相晶體結構存在本質差異,且位錯切 過時會出現新表面,導致界面能升高。此時,晶粒 發生塑性變形需要更大的外力作用,因此合金表現 出較高的抗拉強度和屈服強度。隨著片層α相厚度 增加至0.35~0.47 μm,單位體積內片層數量減少, 導 致 片 層 間 距λ增 大 , 根 據 位 錯 臨 界 切 應 力
公式[34]:τ=Gb/λ(1)
式中:G為切變模量;b為柏氏矢量;λ為相鄰片層α相之間的平均間距。兩端固定的位錯線運動的臨 界切應力τ減小,此時位錯更傾向于繞過α相。位 錯繞過機制占主導后,材料屈服所需的臨界外力降 低,從而導致合金強度隨片層厚度增加而下降。
TC11鈦合金片層α相長寬比與室溫拉伸性能 的關系曲線如圖9所示。由圖9可以發現,隨著片 層α相長寬比的增加,合金強度的變化趨勢是先減 小后升高,而塑性則是持續下降。研究從微觀機制 分析,當片層α相長寬比較小時,顯微組織中存在 較高比例的等軸α相,其與β轉變組織構成的等軸 或雙態組織可通過協調變形提升合金綜合性能;隨 著長寬比增大至魏氏組織特征范圍,此時等軸α相 完全消失,位錯在α/β界面處發生纏結和塞積的概 率增加[35]。這進一步說明等軸α相的協調變形能力與片層α相對位錯阻礙作用共同促使合金力學性能 發生演變。利用相關系數分析,片層α相長寬比與 伸長率和斷面收縮率的相關系數R2分別為0.861和0.907,而與抗拉強度和屈服強度分別為0.491和0.635,以上相關系數說明片層α相長寬比對塑性影 響顯著。石曉輝等[4]在研究Ti-6Al-4V合金網籃組 織與拉伸性能定量關系中,同樣得出片層α相長寬 比的增大可導致塑性降低的結果,進一步印證了本 文中片層α相長寬比對塑性的影響規律。

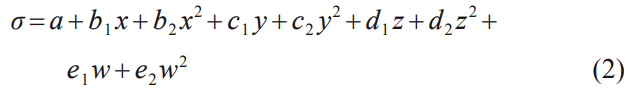
建立鈦合金顯微組織特征參數與拉伸性能定量 關系的關鍵,在于找出最佳匹配的函數形式,通過 多次擬合,在探究單一特征變量與拉伸性能的定量 關系時,采用二次多項式作為函數模型,建立TC11鈦合金顯微組織−拉伸性能的定量關系式

式中:x、y、z、w分別是等軸α相含量、等軸α相 晶粒尺寸、片層α相厚度和片層α相長寬比;a、b1、b2、c1、c2、d1、d2、e1、e2均為常數;σ為各項 拉伸力學性能。
片層α相厚度與伸長率(R2=0.244)、斷面收縮 率(R2=0.250)呈弱相關,但多元模型剔除該變量后, 式(5)、(6)的R²分別下降8.4%和2.8%,表明其對整 體性能調控存在潛在協同作用,已有研究發現[36], 較厚的片層α相通過阻礙α/β界面裂紋擴展間接調 控塑性。通過SPSS完成相關性分析與線性回歸, 最終得到室溫拉伸性能與四個顯微組織特征參數的 定量關系式(3)~(6):

由式(3)~(6)可知,各組織特征參數對力學性能 的影響呈現非線性特征,對相關數據進行擬合后,得到的相關系數分別為0.977、0.995、0.965和0.985,進一步證明了采用二次多項式能夠更好地 表達TC11鈦合金顯微組織特征參數與拉伸性能的 定量關系,為深入研究該合金的性能提供了有力的 數學模型支持。
3、結論
1) 固溶溫度主導等軸α相含量變化,在相變點以下等軸化程度較高,隨溫度升高發生相變導致其減少直至消失;時效溫度則顯著影響片層 α 相形貌,520~540 ℃范圍內溫度每升高 10 ℃使長寬比平均增長13.31。
2) 在相同時效溫度下,力學性能受固溶溫度影響呈兩階段特征,低溫固溶時強度降低而塑性上升,高溫固溶時強度增加但塑性下降;在同一固溶溫度下,520~540 ℃時效溫度小幅變化對性能影響微弱,表明固溶處理是調控合金強塑性的關鍵因素。
3) 等軸α相含量和片層α相厚度影響強度,等軸α相含量的增加或片層α相厚度的減小均提高強度;塑性主要受等軸晶粒尺寸和片層長寬比影響,等軸晶粒尺寸的增大或片層長寬比的降低均改善塑性。基于多元非線性回歸建立的二次多項式模型(見式(3)~(6))呈現顯著相關性(R2>0.96),能準確描述 TC11 組織參數與拉伸性能的關系,對組織和性能的控制及優化具有重要意義。
REFERENCES
[1] WILLIAMSJC, BOYER R R. Opportunities and issues in the application of titanium alloys for aerospace components[J]. Metals, 2020, 10(6): 705.
[2] 金和喜, 魏克湘, 李建明, 等. 航空用鈦合金研究進展[J].中國有色金屬學報, 2015, 25(2): 280−292.
JIN H X, WEI K X, LI J M, et al. Research progress of titanium alloys for aviation[J]. The Chinese Journal of Nonferrous Metals, 2015, 25(2): 280−292.
[3] 朱知壽, 商國強, 王新南, 等. 航空用鈦合金顯微組織控制和力學性能關系[J]. 航空材料學報, 2020, 40(3): 1−10.
ZHU Z S, SHANG G Q, WANG X N, et al. Microstructure controlling technology and mechanical properties relationship of titanium alloys for aviation applications[J]. Journal of Aeronautical Materials, 2020, 40(3): 1−10.
[4] 石曉輝, 曾衛東, 孫 宇, 等. Ti-6Al-4V合金網籃組織與拉伸性能定量關系研究[J]. 稀有金屬材料與工程, 2016, 45(9):2327−2331.
SHI X H, ZENG W D, SUN Y, et al. Quantitative analysis on microstructure-tensile property relationship for Ti-6Al-4V alloy with basket weave structure[J]. Rare Metal Materials and Engineering, 2016, 45(9): 2327−2331.
[5] ZHANG H, WANG W R, YUAN L H, et al. Quantitative phase analysis of Ti-3Al-5Mo-4.5 V dual phase titanium alloy by XRD whole pattern fitting method[J]. Materials Characterization, 2022, 187: 111854.
[6] YING X, ZHAO S T, CAI Y Q, et al. Effect of aging treatment on mechanical properties of new type of medical β titanium alloy[J]. Physics of Metals and Metallography, 2022, 123(14): 1479−1490.
[7] 石志峰 . TC21 鈦合金工藝優化及組織性能關系研究[D]. 西安: 西北工業大學, 2016: 62−73.
SHI Z F. Study on process optimization and relationship between microstructure and properties of TC21 titanium alloy[D]. Xi'an: Northwestern Polytechnical University, 2016: 62−73.
[8] ZHANG M Y, YUN X B, FU H W. Effect of BASC and BASCA Heat Treatment on Microstructure and Mechanical Properties of TC10 Titanium Alloy[J]. Materials, 2022, 15(22): 8249
[9] WANG L R, SONG X Q, ZHANG Y, et al. Effect of Initial microstructure on phase precipitation and mechanical properties during heat treatment of TC21 titanium alloy[J].
Engineering, 2020, 12(10): 781−789.
[10] BHATTACHARJEE A, GHOSAL P, NANDY T K, et al. Effect of grain size on the tensile behaviour and fracture toughness of Ti-10V-4.5Fe-3Al beta titanium alloy[J]. Transactions of the Indian Institute of Metals, 2008, 61(5): 399−405.
[11] GONG H C, FAN Q B, ZHANG H M, et al. Deciphering the quantitative relationships between age-induced hierarchical microstructure characteristics and tensile properties of Ti20C
alloy[J]. Materials Characterization, 2024, 207: 113567.
[12] SHI X H, ZENG W D, SUN Y, et al. Microstructure-tensile properties correlation for the Ti-6Al-4V titanium alloy[J]. Journal of Materials Engineering and Performance, 2015, 24(4):1754−1762.
[13] 周建偉. TC21鈦合金網籃組織優化及其對力學性能影響研究[D]. 南昌: 南昌航空大學, 2022: 52−61.
ZHOU J W. Study on microstructure optimization of TC21 titanium alloy mesh basket and its influence on mechanical properties[D]. Nanchang: Nanchang Hangkong University, 2022: 52−61.
[14] WANG W, ZENG W D, XUE C, et al. Quantitative analysis of the effect of heat treatment on microstructural evolution and microhardness of an isothermally forged Ti-22Al-25Nb (at.% ) orthorhombic alloy[J]. Intermetallics, 2014, 45: 29−37.
[15] 謝 鑫. TC21鈦合金網籃組織調控及其拉伸性能的定量關系研究[D]. 南昌: 南昌航空大學, 2020: 53−63.
XIE X. Quantitative relationship between microstructure control and tensile properties of TC21 titanium alloy basket[D]. Nanchang: Nanchang Hangkong University, 2020: 53−63.
[16] 王凱旋, 曾衛東, 邵一濤, 等. 基于體視學原理的鈦合金顯微組織定量分析[J]. 稀有金屬材料與工程 . 2009, 38(3): 398−403.
WANG K X, ZENG W D, SHAO Y T, et al. Quantification of microstructural features in titanium alloys based on stereology[J]. Rare Metal Materials and Engineering, 2009, 38(3): 398−403.
[17] 王 聰. TC11鈦合金微觀組織調控及其對力學性能的影響研究[D]. 徐州: 中國礦業大學, 2022: 36−70.
WANG C. Study on microstructure control of TC11 titanium alloy and its influence on mechanical properties[D]. Xuzhou: China University of Mining and Technology, 2022: 36−70.
[18] 王宏權, 李進元, 郭 征, 等. 熱變形及熱處理工藝對TC11鈦合金棒材顯微組織和力學性能的影響[J]. 熱加工工藝, 2017, 46 (13): 160−162, 165.
WANG H Q, LI J Y, GUO Z, et al. Effect of hot deformation and heat treatment on microstructure and mechanical properties of TC11 titanium alloy bar[J]. Hot Working Technology, 2017, 46(13): 160−162, 165.
[19] LEE S W, PARK C H, HONG J K, et al. Effect of solution treatment and aging conditions on tensile properties of Ti-AlFe-Si alloy[J]. Materials Science and Engineering A, 2017, 697: 158−166.
[20] 王凱旋, 曾衛東, 趙永慶, 等. 鈦合金顯微組織與性能定量關系的模型[J]. 稀有金屬材料與工程,2011, 40(5): 784−787.
WANG K X, ZENG W D, ZHAO Y Q, et al. Modelling the quantitative correlation between the microstructure and mechanical properties in titanium alloys[J]. Rare Metal
Materials and Engineering, 2011, 40(5): 784−787.
[21] 辛社偉. 鈦合金固態相變的歸納與討論(Ⅶ)——鈦合金熱處理的歸類(續)[J]. 鈦工業進展, 2021, 38(6):37−42.
XIN S W. Inductions and discussions of solid state phase transformation of titanium alloy(Ⅶ): Classifications of heat treatment of titanium alloy (continuation) [J]. Titanium Industry Progress, 2021,38(6): 37−42.
[22] 崔忠圻, 覃耀春. 金屬學與熱處理[M]. 北京: 機械工業出版社, 2023: 239−243.
CUI Z Q, QIN Y C. Metallography and Heat Treatment [M]. Beijing: China Machine Press, 2020: 239−243.
[23] ZHU W G, SUN Q Y, TAN C S, et al. Tensile brittleness and ductility improvement in a novel metastable β titanium alloy with lamella structure[J]. Journal of Alloys and Compounds,
2020, 827: 154311.
[24] 張明玉. TC10鈦合金熱處理及包覆疊軋過程組織演變與力學性能研究[D]. 大連: 大連交通大學, 2023.ZHANG M Y. Study on microstructure evolution and mechanical properties of TC10 titanium alloy during heat treatment and cladding and rolling[D]. Dalian: Dalian Jiaotong University, 2023.
[25] GU Y J, STILES C D, EL-AWADY J A. A statistical perspective for predicting the strength of metals: Revisiting the Hall–Petch relationship using machine learning[J]. Acta
Materialia, 2024, 266: 119631.
[26] 康 聰, 楊 佩, 李 菁. 顯微組織對TC11鈦合金鍛件力學性能的影響[J]. 世界有色金屬, 2020(23): 129−130.
KANG C, YANG P, LI J, et al. Effects of microstructure on mechanical properties of TC11 titanium alloy forgings[J]. World Nonferrous Metals, 2020(23): 129−130.
[27] SUN Y N, GONG H C, YING J Y, et al. Quantitative relationship between impact toughness and quasi-static tensile properties of Ti-652 titanium alloy[J]. Journal of Alloys and Compounds, 2024, 971: 172678.
[28] YANG X M, GUO H Z, ZHAO Z L, et al. Quantitative analysis of the effect of deformation temperature on microstructure evolution and mechanical property of isothermally forged BT25y titanium alloy[J]. Procedia Engineering, 2017, 207: 2167−2172.
[29] LI G, FAN Q B, LI G J, et al. Unveiling the quantitative relationship between microstructural features and quasi-static tensile properties in dual-phase titanium alloys based on datadriven neural networks[J].Materials Science and Engineering A, 2024, 913: 147102.
[30] ZHAO P L, WANG Y W, JIANG B Y, et al. Neural network modeling of titanium alloy composition-microstructurepropertyrelationships based on multimodal data[J]. Materials Science and Engineering A, 2023, 879: 145202.
[31] GUO J L, LIU Y, ZHAO Y, et al. Tailoring microstructure and mechanical anisotropy of laser-MIG hybrid additive manufacturing TC11 titanium alloy through solution aging treatment[J]. Journal of Materials Science, 2024, 59(21): 9625−9642.
[32] XIANG W, YUAN W H, DENG H, et al. Effect of aging temperature on the microstructure and mechanical properties of a novel β titanium alloy[J]. Materials, 2023, 16(23): 7393.
[33] LIU X H, CUI W Q, WANG Y R, et al. Effects of heat treatment on the microstructure evolution and mechanical properties of selective laser melted TC4 titanium alloy[J].
Metals, 2022, 12(5): 702.
[34] 愈漢清,陳金德. 金屬塑性成形原理[M]. 北京: 機械工業出版社, 2021: 16.
YU H Q, CHEN J D. Principles of metal plastic forming[M]. Beijing: China Machine Press, 2021: 16.
[35] YU R H, CHEN Q, WANG P C, et al. Effects of solution temperature and aging time on the microstructure and mechanical properties of TG6 titanium alloy[J]. Journal of Materials Engineering and Performance, 2022, 31(2): 1456−1464.
[36] 袁銘揚. 熱處理對TC4鈦合金的組織與超高周疲勞性能的影響[D]. 杭州: 浙江大學, 2024: 59.
YUAN M Y. Effect of heat treatment on microstructure and ultra-high cycle fatigue properties of TC4 titanium alloy[D]. Hangzhou: Zhejiang University, 2024: 59.
(注,原文標題:TC11合金顯微組織特征參數與拉伸性能的定量關系)
tag標簽:TC11鈦合金,固溶時效,航空發動機熱端部件,顯微組織演變


