發布日期:2025-9-17 10:54:19
1、引言
鈦因其良好的生物相容性、耐腐蝕性、低密度已作為牙種植體廣泛用于替代缺失的牙齒,Ti6Al4V因其更好的機械性能也是純鈦的理想替代品[1]。實際應用中牙種植體周圍的骨組織通過骨重塑來適應機械負荷[2]。然而,鈦及其合金(110GPa)的彈性模量相比于骨骼(10~30GPa)過高,從而導致金屬植入物和骨組織間的“應力屏蔽”效應,進而引發骨結合不良和植入物松動[3]。此外,Ti6Al4V在口腔種植后會釋放有毒的Al和V金屬離子,危害人體健康[4–5]。因此,鋯合金因其優異的耐腐蝕性、良好的力學性能、在體內可形成骨狀磷灰石層以及具有較低磁化率,作為骨科植入替代材料受到越來越多的關注[6]。目前對植入鋯合金的研究主要圍繞添加β相穩定元素以獲得彈性模量更低的含β相鋯合金,研究較為廣泛的醫用鋯合金包括Zr-Ti系及Zr-Nb系[7–9]。對于ZrTi系合金,Zr和Ti2種元素屬于同一主族,具有相似的物理化學性質和晶體結構,并且可以形成無限固溶體,十分便于進行合金成分設計。Hsu等人[10]對比了鑄態Zr-xTi(x=10,20,30,40,wt%)合金的力學性能,發現Zr-Ti合金不僅抗彎強度高于純鋯,還具有良好的延展性;彈性模量 范圍在68GPa(Zr-30Ti)至78GPa(Zr-40Ti),顯著低于純鈦,有望成為新型口腔種植材料。當Zr和Ti的原子比接近1:1時(Zr-30wt%Ti),固溶強化的效果最大[11]。對于Zr-Nb系合金,Zr和Nb是同一周期相鄰元素,β-Nb和β-Zr晶體結構相同,點陣參數和原子半徑相近,因此Zr-Nb合金的點陣畸變小,相應地彈性模量較其他體系更低。
Nb是鋯合金最常用的β相穩定元素,當Nb含量大于22wt%時合金可由單一β相組成,兼具較低的彈性模量和高延展性及適度的強度[12]。盡管已有較多對于新型醫用鋯合金作為骨科和牙科材料的研究,并進行了相關的體外測試[6,13],但距離真正的臨床應用還需要更深入的研究和審查。
由于外部載荷形成的應力應變控制著人體骨組織的力學響應,生物力學的影響對于預測成功植入具有重要作用。臨床應用中,植入物面臨復雜的生物力學問題,而采用復雜的活體實驗很難去了解生物力學過程[14]。動物研究可以直接觀察到骨組織對種植體植入后的應力表現出的生物力學反應,但很難評估內部的應力應變。盡管一些實驗的方法,如應變儀,可以精確控制載荷的大小來評估表面應變,但無法評估應變儀之外的區域[15]。因有限元方法是模擬宏細觀材料力學性能演化的有效方法,在生物醫學領域有著廣泛的應用[16–17]。有限元作為一種數值模擬方法,允許研究者在進行體內實驗之前對所研究的問題進行初步評估,可用于觀察種植體及骨組織的應力應變分布及細節,從而研究種植體材料的生物力學性能,預測骨組織的生物力學行為。在實現研究向臨床應用轉化的漫長過程中,有限元方法加速了進程并提供深入細致的研究結果及規律。因此,有限元分析在牙科材料的選擇中起到重要作用,并且在其他新型替代材料(如PEEK、氧化鋯)的生物力學性能研究得到較多的應用[17–19]。然而,在種植牙的生物力學行為研究中,生物體的復雜性和動態性使得使用計算機無法完全復制每個細節[20]。因此采用靜態加載的方式對植入物和骨組織的強度和穩定性進行分析及初步評估植入物應用的可行性,同時減少了計算的復雜性。在新型生物醫用鋯的牙科種植體研究中同樣應當進行模擬真實口腔環境的生物力學性能研究,以對其應用潛力進行全面評估。考慮到實際咀嚼食物過程中牙齒的運動規律主要包括軸向的壓碎運動和側向的磨碎運動,作用在牙齒上的載荷相應地有垂直載荷和傾斜載荷[21]。因此,本研究采用三維有限元方法模擬2種鋯合金種植體在垂直和傾斜兩種載荷條件下的應力分布,并與傳統較高彈性模量的Ti6Al4V、更低彈性模量的一種鋯合金[22]進行對比分析,研究種植體彈性模量變化對力學性能的影響,從而為這類合金的應用補充相關數據。
2、實驗
基于本課題組的研究,制備了Zr-30(wt%)Ti合金。合金的制備工藝過程如下:采用真空非自耗電弧爐熔煉得到約60g的鑄錠。為保證合金成分的均勻性,將錠子反復重熔6次。合金錠經熱壓(650℃)、熱軋(650℃)、真空淬火(650℃,保溫15min)獲得1.2mm厚的板狀樣品。
淬火態樣品參照《GB/T228.1-2021金屬材料拉伸試驗第1部分:室溫試驗方法》進行拉伸試驗。首先,使用線切割得到3組拉伸平行樣,將切割得到的淬火態樣品依次使用400#、800#、1200#、1500#和2000#的砂紙進行打磨以及酒精超聲清洗。烘干后的樣品在室溫下進行拉伸,拉伸速率為6mm/min,拉伸過程中使用引伸計,結果作為種植體材料屬性參數。
參照士卓曼(Straumann)種植系統,使用Solidworks軟件建立種植體系統模型,包括基臺、種植體、骨組織(種植體簡稱為IM)。盡管目前主流的種植牙結構是兩段式[22‒23],為了減少潛在失效的多樣性,本研究種植體的幾何模型采用一段式且僅考慮材料特性的影響。針對下頜磨牙的骨內種植治療,選取標準ITI(InstituteStraumann,Waldenburg,Switzerland)種植體為參照,種植體的幾何參數如圖1所示。種植體相關參數如表1所示。

骨組織由皮質骨和松質骨組成,內部是松質骨,外部覆蓋一層厚度H2=2mm的皮質骨(皮質骨簡稱為CO,松質骨簡稱為CA)。骨組織的建模仿照下頜骨截面,并將其近似為方形,但具體的幾何尺寸則參考臨床的統計數據[24],如表1和圖1所示。

對于骨內種植體材料,考慮到處于較小的應變狀態,可近似為各向同性、均勻線彈性模型[25]。本研究計算所使用的材料中以Ti6Al4V和Zr24Nb作為對照材料,材料參數取自文獻[19,22],以做更全面的分析。Zr22Nb材料參數來自本課題組工作,各種植體材料的屬性如表2所示。為方便表達,后文均以1#、2#、3#和4#來代表Ti6Al4V、Zr30Ti、Zr22Nb和Zr24Nb各種植體模型。

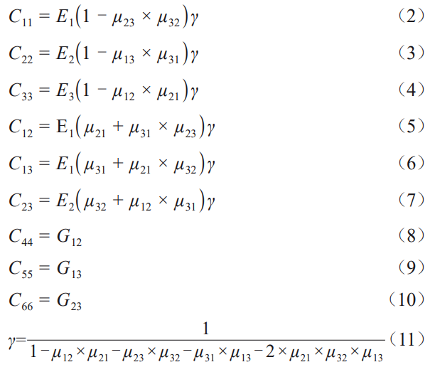
下頜骨的材料屬性顯著影響其對外部載荷的力學響應。由于徑向和切向的彈性模量相近并且明顯小于縱向,故可認為骨組織材料屬性為正交各向異性[25]。對于正交各向異性材料,默認材料至少有2個正交的對稱平面,并且材料屬性獨立于每個平面的方向,因此骨組織的材料本構中有9個彈性常數,具體形式為[26–29]:

對于正交各向異性材料,彈性模量分量和彈性常數之間存在定量關系[30‒31]:

由表3中的骨組織材料參數(表中彈性模量和泊松比的下標x、y、z與上式中的下標1、2、3對應,同時與模型的坐標系相對應)可計算出骨組織的剛度系數并用于計算,如表4所示。


由于種植體系統由多個部件組成,裝配體之間存在多個相互配合的接觸界面。對于本研究,接觸界面主要為種植體-骨界面、皮質骨-松質骨界面。為了模擬種植體植入后的長期性能,假定種植體和骨組織之間實現完全的骨結合,本研究將皮質骨和松質骨模型間的接觸類型設置為綁定約束(Tie),即假定骨組織間不發生相對位移。選取大小為250N的載荷,施加于假設為咬合接觸面的種植體基臺組合模型頂部[34‒35]。加載方向有2種:
沿種植體軸向;沿頰舌向(模型中的x軸方向),傾斜角度參考ISO14801牙科植入物疲勞測試標準,選取為30°。加載方向與網格示意圖見圖2。

基于二次四面體單元對模型進行網格劃分,通過網格優化確定骨組織網格尺寸約為1mm,種植體網格尺寸約0.3mm。對接觸界面網格進行優化,確定接觸界面處種植體部分網格尺寸為0.2mm,骨組織部分網格尺寸為0.15mm。模型網格單元數如表5所示。

3、實驗結果
3.1 種植體及骨組織的應力分布
垂直載荷下各組模型中種植體的Mises應力分布如圖3所示,應力分布趨勢相似,應力集中與最大應力位置均為種植體頸部區域。同樣,各組模型中皮質骨和松質骨具有相似的應力分布。皮質骨與松質骨上表面邊緣均存在應力集中,松質骨的第一螺紋處相較其他位置也表現出較高的應力。相比其他材料,僅彈性模量為30GPa的4#模型(Zr24Nb)在骨組織出現一定的應力分布區擴大。

各模型結果的差異主要表現在最大應力值。如表6所示,垂直加載條件下,1#(110GPa)、2#(76GPa)、3#(59GPa)、4#(30GPa)種植體的最大應力分別為75、77、79、85MPa,在皮質骨中產生的最大Mises應力分別為86、89、91、98MPa,在松質骨中產生的最大Mises應力差別不大,分別為4.63、4.57、4.51、4.23MPa,種植體傳遞的應力主要由皮質骨承受。種植體和皮質骨的應力集中程度和最大應力值均隨著彈性模量的降低而增加,松質骨則呈現相反的趨勢。

傾斜載荷下各組模型的應力分布相似(圖4)。骨組織應力明顯集中在一側,種植體則在沿加載方向的兩側均存在應力集中。1#種植體的頸部應力區可達到第三螺紋,2#、3#則在第二、三螺紋間,4#僅在第一螺紋。同時,1#、2#、3#、4#種植體在傾斜載荷下的最大應力分別為336、346、355、385MPa。隨著植入材料的彈性模量降低,種植體頸部的應力集中程度增加。

對于種植體在皮質骨內表面產生的大于50MPa的應力區范圍,1#產生的相應應力區大小約為皮質骨厚度的1/2,2#產生的相應應力區大小約等于皮質骨厚度,3#和4#產生的相應應力區進一步橫向擴大。對于松質骨表面大于2MPa的應力區,相比于1#,2#、3#、4#種植體產生的應力區明顯擴大。對于松質骨植入位置螺紋間內表面,2#、3#、4#的應力(2~3MPa)的范圍逐漸擴大。如表6所示,與垂直載荷的規律相同,種植體和皮質骨的最大應力值隨著彈性模量的降低而增加。然而,1#、2#、3#、4#種植體在松質骨產生的最大應力值分別為6.57、6.56、6.57、6.79MPa,則是先減小后增加,種植體彈性模量為76GPa時最小。在2種載荷條件下,骨組織中的應力主要由皮質骨承擔。傾斜加載在種植體和皮質骨所產生的最大應力要明顯高于垂直加載,各種植體的最大應力約為垂直載荷下的4.5倍,1#、2#、3#及4#模型中皮質骨的最大應力約為垂直載荷下的2.6倍、2.9倍、3.2倍、4.1倍,應力增加幅度逐漸增大。
不論是垂直加載還是傾斜加載,頰舌向(模型中的x軸方向)的應力在路徑A-B的前3個節點內迅速降低,這是由于在接觸面使用了不發生相對位移的綁定約束從而導致第1個單元內的應力梯度較大,得到的結果較為保守。然而,應力在經歷較為迅速的降低后逐漸趨于平緩。
垂直載荷下,皮質骨在頰舌向路徑A-B的第3個節點后的應力范圍為5~25MPa;傾斜載荷下,皮質骨在頰舌向路徑A-E的第3個節點后的應力范圍為0~80MPa;并且種植體彈性模量的降低使得皮質骨應力有所增加(圖5b、5e)。相比于頰舌向,近遠中方向(模型中的z軸方向)的應力變化整體較為和緩,垂直加載(路徑C-D)和傾斜加載(路徑C-F)的應力均小于100MPa,傾斜加載產生的最大應力(位置C)僅比垂直加載高約13%(圖5c、5f)。

然而,傾斜加載在頰舌向產生的最大應力(位置A)比垂直加載高2.7~4.5倍。一方面,2種加載條件下的應力集中位置不同,垂直加載時應力集中處位于近遠中方向(位置C),而傾斜加載時則位于頰舌向(位置A);另一方面,垂直加載時應力在皮質骨植入部位邊緣的分布相比于傾斜加載更為均勻,傾斜加載時應力集中在皮質骨的一側,因此這種載荷工況對于皮質骨是一種更為惡劣的情況,但種植體應依然保持良好的性能,以適應實際口腔應用中可能出現的不良載荷條件。然而,對于皮質骨表面的應力變化,各模型間的差異較小,明顯的差異主要在于皮質骨與種植體接觸界面以及皮質骨最大應力,產生差異的原因可能是由于皮質骨表面為自由表面,而皮質骨與種植體間存在完全約束的接觸。
3.2 種植體及骨組織的最大應力分析
在傾斜載荷下,種植體的最大應力較高,并隨著模量的降低應力相應增加,但均小于各材料的抗拉強度,且最大應力占其強度的百分比均小于60%(圖6)。2種載荷條件下,最大Mises應力均隨著彈性模量的降低而增加,并且傾斜載荷下的變化更為明顯(圖7a、7d)。考慮到骨組織可近似為脆性材料[31],當最大主應力達到或超過材料的抗拉強度或抗壓強度時,脆性材料往往會發生突然破壞,因此對皮質骨的最大主應力進行分析。2種載荷條件下,皮質骨中的最大壓應力值均大于最大拉應力值。

垂直載荷下,最大拉壓應力范圍為–150~100MPa;傾斜載荷下,最大拉壓應力范圍為–700~500MPa(圖7b、7e)。由前述對Mises應力的分析表明,在皮質骨植入部位的邊緣存在較大的應力集中,這是由于幾何模型在此處為直角,存在奇異點(即計算應力值趨于無窮大)。為了克服計算問題并得到更具代表性和真實性的結果,在排除了0.1%的奇異節點后對最大主應力進行了統計。垂直載荷下,相比于1#,2#、3#、4#種植體在皮質骨的最大Mises應力略有降低,最大Mises應力范圍為35.96~39.29MPa,最大拉壓應力范圍為–43.68~–39.20MPa;傾斜載荷下,2#、3#、4#種植體在皮質骨產生的最大Mises應力相比于1#增加,最大Mises應力范圍為99~123MPa,最大拉壓應力范圍為–188~130MPa(圖7b、7e)。垂直載荷和傾斜載荷下皮質骨的最大Mises應力均隨彈性模量的降低而增加并呈現輕微的非線性特點。

對于皮質骨中的主應力,最大壓應力值隨著植入材料彈性模量的降低而增加,最大拉應力值在垂直加載時隨著彈性模量增加而減小,傾斜加載時則隨彈性模量的增加而增加(圖7c、7f)。這是由于2種載荷條件下皮質骨的最大拉應力位置不同,如圖8c1~8c4和圖9c1~9c4所示。

3.3 種植體彈性模量對種植體-骨界面應力的影響
垂直加載時,種植體-皮質骨界面處的應力集中位于皮質骨上下兩端,同時是皮質骨發生幾何突變的位置。皮質骨上端應力集中處的Mises應力是皮質骨中的最大值,隨著彈性模量的減小而增加。1#、2#、3#、4#種植體在皮質骨下端的最大Mises應力值分別為71、68、62、60MPa,隨著種植體彈性模量的降低而逐漸減小。
對于與皮質骨下端接觸的種植體內部,大于23MPa的應力區橫穿種植體,2#、3#種植體內該應力區范圍逐漸縮小,4#種植體內該應力區已不明顯(圖8a1~8a4)。對于最大主應力的分布,各模型間沒有明顯差別,但最大拉壓應力均隨著彈性模量的降低而增加(圖8c1~8c4)。各種植體內部應變均為壓應變,1#、2#、3#、4#種植體內部的應變分別約為–2.9×10-5、–4.8×10-5、–6.8×10-5、–1.2×10-4,壓應變隨著彈性模量的降低而增加(圖8b1~8b4)。
傾斜加載時,皮質骨中應力集中區域主要位于上端,并且該區域大于50MPa的應力區明顯隨著種植體彈性模量的降低而擴大。同時,種植體兩側大于150MPa的高應力區隨著種植體彈性模量的降低明顯縮小,應力集
中程度增加(圖9a1~9a4)。種植體兩側的最大拉壓應力同樣隨著種植體彈性模量的降低而增加,3#、4#種植體內部大于100MPa的壓應力區表現出擴大趨勢(圖9c1~9c4)。2#、3#、4#種植體的內部出現最大主應變值大于1×10-5的壓應變區,3#種植體內最大主應變值大于1.7×10-3的應變區出現橫向擴大的趨勢,4#種植體內該應變區已在種植體內部橫向分布。1#、2#、3#、4#種植體的內部最大主應變分別為–1.4×10-5、–2.8×10-5、–3.7×10-5、–6.9×10-5,傾斜載荷下2#、3#和4#種植體頸部內的最大應變分別是1#的2倍、2.6倍、4.9倍。
垂直載荷下,1#、2#、3#、4#種植體在種植體-皮質骨界面的皮質骨上下兩端排除邊緣應力集中單元后的應力差大小分別約為10.7、10.8、11、11.7MPa,相應種植體上下兩端的應力差大小約為13.2、7.7、7.8、9.0MPa。當植入材料為Ti6Al4V時,種植體-皮質骨界面兩側的應力差十分明顯。當植入材料的彈性模量降低時,界面應力差明顯減小,且2#、3#、4#模型的整體應力值相較于1#模型減小顯著。然而,對4#模型(E=30GPa),界面兩側皮質骨和種植體的應力相比于2#(E=76GPa)和3#(E=59GPa)模型均有所增加(圖10b)。

傾斜載荷下,隨著植入材料彈性模量的降低,界面的種植體一側應力減小,骨組織一側應力增加,界面兩側的應力差明顯減小(圖10c)。1#、2#、3#、4#種植體-骨界面處的種植體平均Mises應力值分別為181、165、153、121MPa,皮質骨的平均Mises應力分別為49、55、60、76MPa,種植體和皮質骨的應力差分別為132、110、93、46MPa。種植體和皮質骨的應力變化隨彈性模量的降低變化趨勢不同,種植體應力降低而皮質骨應力增加,界面兩側的應力差相應降低,界面上的平均應力及界面兩側應力差隨種植體彈性模量的變化而呈明顯的非線性變化(圖10d、10e)。
傾斜載荷作用下,隨著種植體材料彈性模量的降低,種植體的高位移區逐漸向頸部移動,種植體骨內段的位移分布均勻性降低(圖11a1~11a4)。1#、2#種植牙植入的松質骨受壓側內表面位移大于7.5×10-3mm,隨著種植體彈性模量降低該區域向受壓側頸部收縮,最大位移增加,但松質骨植入部位底部的位移隨著種植體彈性模量的降低而減小,3#、4#種植體在松質骨底部產生的位移已小于7.5×10-3mm(圖11b1–11b4)。1#模型種植體在松質骨內產生的Mises應力區主要是受壓側和受拉側下部分,下端螺紋和底部應力較大;當種植體材料彈性模量減小到30GPa(4#)時,應力區主要位于松質骨上側,下端螺紋和底部應力較小;螺紋間的應力分布由從底部向頂部減小變為從底部向頂部增加。1#、2#、3#、4#種植體植入位置上下兩端松質骨的應力差約為2、3.5、3.5、5.8MPa,植入位置第一螺紋兩側的松質骨應力差約為2、1.5、1.5、1MPa,在各組模型中,2#與3#模型的種植體在松質骨中產生更均勻的整體應力分布(圖11c1~11c4)。

4、討論與分析
本研究采用有限元方法研究了Ti6Al4V和新型生物醫用鋯合金用作一件式種植體及相應骨組織的應力狀態,以評估鋯合金用作牙科植入材料的應用潛力。根據材料力學,種植義齒可簡化為單端固定的懸臂梁,其中骨組織給予其固定的約束力。其自由端施加的橫向載荷分量使其固定端擁有最大的彎矩。純彎曲的一維等截面梁的剛度為:
k=EA/L(12)
其中,E為彈性模量,A和L分別是梁的截面積和長度。
幾何模型相同的條件下,種植體彈性模量對其生物力學的影響本質上也是對其剛度的影響。剛度反映了構件抵抗彈性變形的能力,是力-位移曲線的斜率。故而,較低模量的種植體自由端的位移較大,高位移區向種植體頸部擴大,進一步使得彈性模量較低的材料在頸部變形較大,從而在頸部及周圍骨組織中產生較高的應力,并且皮質骨承擔了骨組織中的絕大部分應力,這一現象與大多數文獻相似[18,36‒38]。這也是多數研究專注于種植體及其部件幾何結構的原因。若要改善低模量材料的抗變形能力,增大其直徑是一種行之有效的方法,尤其是與皮質骨接觸的位置。對于種植體的應力集中部位,據其他研究報道,較為常用的兩段式種植牙的應力集中位置同樣為種植體的頸部[35‒41]。此外,體外實驗表明,不論是一段式還是兩段式種植體,斷裂均發生在種植體的頸部區域[42‒43]。由此可以推斷種植體頸部的應力集中是由其懸臂梁的結構特性所決定的,也是種植體失效的關鍵位置。
根據Tretto等[37]對鈦替代材料用作一段式和兩段式種植牙的生物力學行為相關研究,將彈性模量低于種植體的材料用作基臺將會促進力向種植體的傳遞,在相同的鈦基臺下,兩件式種植體的應力要小于一件式。因此,本研究采用的一段式種植體模型得到的應力要高于使用鈦基臺的情況,評估結果相對較為保守。
在種植體的應力狀態分析中可以看到,4種材料的種植體應力集中均位于頸部與皮質骨上表面邊緣接觸的地方,這可能是因為模型中使用的綁定約束限制了骨組織和種植體之間的相對運動,卻不影響種植體上端未約束部分的變形。相比于同樣大小的垂直載荷,傾斜載荷作用下彈性模量較低的種植體更易產生較大的應力。
Korabi等[44]雖然使用了允許接觸面相對滑動的摩擦接觸,但其結果表明彈性模量較低的材料承載能力仍然較差;在橫向載荷的作用下,相比于鈦及更高模量的材料更易發生破壞,垂直載荷下的承載能力并不受種植體彈性模量的顯著影響。然而,在一個咀嚼周期中,種植義齒需要承受相當一部分時間的傾斜載荷,這一點在相關的疲勞研究中得到充分體現[45‒46]。因此,較低模量的種植體在傾斜載荷下的力學性能是十分重要的。本研究結果顯示4種種植體的最大Mises應力并未超過其極限強度,鋯合金在具有低于鈦的彈性模量的同時具有足夠的力學性能。
Frost等人[47]基于大量醫學相關基礎研究建立了應力刺激與骨組織的反饋,當作用在骨組織上的Mises應力為20~60MPa時,應力刺激骨生長;當作用在骨組織上的Mises應力為60~120MPa時,骨組織因過載造成病理性骨吸收;超過120MPa時,骨組織可能會發生斷裂。所以對植入材料的應用評估還需包括骨組織的安全性。去除奇異節點后,垂直加載下鈦種植體在皮質骨產生的Mises應力約為39MPa,傾斜加載下的Mises應力為98.74MPa。根據臨床研究,超負荷是種植體周圍表面的邊緣骨質流失的主要原因之一,而皮質骨易受超負荷影響,因此臨床隨訪患者口腔中種植體的骨質流失開始于皮質骨并逐漸向松質骨擴大,最終引發并發癥影響種植體的穩定性[48‒49]。同樣地,本研究結果顯示,1#模型的種植體在皮質骨會造成病理性骨吸收,這與臨床上發生的鈦種植體周圍骨邊緣存在骨吸收的情況一致,但目前骨吸收是不可避免且輕微骨吸收是可接受的[9,50‒51]。垂直加載時,2#、3#種植體在皮質骨產生的最大Mises應力分別為39和38MPa;傾斜加載時,最大Mises應力為108和115MPa。然而,4#種植體(30GPa)傾斜加載時在皮質骨產生的應力為123MPa,該應力大小在發生斷裂的邊緣(見表7)。相比之下,2#(76GPa)和3#(59GPa)種植體仍在安全使用范圍內。考慮到骨組織的脆性,拉應力超過屈服強度會導致種植失敗[52],因此對皮質骨的最大拉壓應力也進行了分析。排除應力奇異節點后,垂直加載時鈦在皮質骨產生的拉壓應力最大,分別為39和–44MPa;傾斜加載時,4#(30GPa)種植體在皮質骨產生的拉壓應力最大,分別為130和–188MPa,同樣已經非常接近骨組織的拉伸和壓縮強度,然而2#(76GPa)和3#(59GPa)在皮質骨產生的最大拉壓應力分別為76、–129和89、–143MPa,均低于皮質骨的強度(抗拉強度為130MPa,壓縮強度為190MPa[18])(見表6)。從Mises應力和主應力2種應力評估結果看,2#(76GPa)和3#(59GPa)種植體具有良好的使用安全性。盡管如此,需要強調的是種植體較低的彈性模量在傾斜加載時會引起應力的增加,使得種植體頸部及周圍皮質骨的過載風險增加。

目前,牙科植入物的研究致力于減弱“應力屏蔽”效應的影響,即期望骨組織受到更多的應力刺激,實現更好的骨結合。理想的種植體材料應當實現良好的載荷傳遞,減小種植體-骨界面應力差[14]。在兩種加載方向下,隨著彈性模量的降低,皮質骨上端的應力集中及最大應力值增加,而底部的應力變化情況則相反。Piotrowski等[22]對Zr24Nb在垂直載荷下的有限元生物力學模擬中出現了與本研究相同的現象,但皮質骨界面上端并未出現應力集中。這是由于Piotrowski等的幾何模型中種植體植入骨組織的位置較深,種植體頸部完全位于骨組織中,皮質骨上端和種植體的接觸面積較大,剛度也更大。
然而,皮質骨底部應力分布的改善本質上仍與材料彈性模量相關。在相同的載荷條件下,較“柔軟”的低模量材料更易發生變形,因此在皮質骨底部的幾何不連續處產生更大的變形,另一方面,種植體和骨組織的模量差減小,變形更為協調,界面兩側的應變差更小、應變區分布相對更為均勻。此外,材料泊松比相同的情況下,較低模量種植體在與皮質骨上端接觸位置內部的較大應變沿橫向分布。這是由于種植體發生了壓縮變形,垂直載荷下內部應變區向下擴大,橫向載荷分量下表現為明顯的應變橫向擴大,從而促使種植體在皮質骨區域內的整體應變增加,有利于應力向皮質骨的傳遞。由于變形協調性增加,皮質骨界面上平均應力增加的同時種植體的平均應力減小,進而界面的應力差非線性減小。以1#種植體作為標準,傾斜載荷下對于種植體最大Mises應力,2#、3#、4#種植體的應力增幅分別為2.98%、5.47%、14.55%,但最大應力仍小于其強度(分別為952、611、800MPa)(見表2);對于界面種植體的平均Mises應力,相應的應力降低幅度分別為8.85%、15.33%、32.90%;對于界面皮質骨的平均Mises應力,相應的應力增幅分別為12.75%、122.94%、155.11%,其最大應力增幅分別為17.59%、31.92%、79.14%;對于界面的應力差,相應的應力降低幅度分別為16.82%、29.45%、65.41%(見表8)。由此可見降低彈性模量對于促進應力向骨組織的傳遞效果非常明顯。雖然種植體的應力增加幅度較小,但材料的強度還是一個重要的判斷標準,其中2#和3#種植體以較小的種植體應力增幅獲得較大的界面應力差減幅。需要強調的是,這種非線性特點僅限于基臺和種植體相連的一段式種植體。由上述討論可知,與種植體模量相同的基臺相比,更高模量的基臺會使種植體及周圍骨的應力更高。然而,結合種植體彈性模量對其本身承載能力的影響特性,種植體應在滿足其對咀嚼負載需求的前提下適當降低其彈性模量以實現更好生物力學性能,這與呂越等[53]觀點一致。而2#和3#種植體能夠滿足這一要求,并且對于皮質骨具有良好的使用安全性。此外,若要改善皮質骨上端應力隨彈性模量降低而增加的現象,在植入骨組織時適當增加植入深度是一種方法。

傾斜條件下,彈性模量為30GPa的4#種植體在松質骨植入位置底部的應力集中消失,與Korabi等[44]觀察到剪切應變明顯減弱的植入物模量(23GPa)相似。當橫向載荷分量存在時,彈性模量降低,種植體的變形向頸部集中、底部的變形減小,所以Zr24Nb在松質骨的應力耗散集中于植入位置的上部。然而,鈦種植體則相反,且在松質骨底部存在較為明顯的應力集中。Primoradian等[54]利用彈性模量與松質骨相近的有機玻璃并通過光彈性試驗獲得了傾斜加載時鋼植入物(190~210MPa)在有機玻璃中的應力分布,結果顯示應力集中在植入位置上部的一側和底部,并且鈦植入物的有限元結果顯示長度為10mm的種植體(不同螺距)在松質骨內產生的最大應力為7~8MPa,實驗與模擬研究均與本研究結果較為一致。
Zhang等[55]對種植體骨內段的中間部分應用了低剛度的多孔結構,進而獲得了相比固體鈦種植體更均勻的應力分布以及更小的應力。這種方法實際上是在較高和較低模量種植體對松質骨產生的2種應力響應間取得平衡。
相似地,2#、3#種植體的剛度介于1#和4#種植體,因此在松質骨中產生的應力分布情況則介于兩者之間,植入位置界面的上部和下部沒有明顯的應力差距,在植入位置的周圍均有應力分布,螺紋間的應力分布區域大小相近,沒有出現前兩者螺紋間應力分布區域逐漸減小的現象,整體的應力分布更為均勻。2#、3#種植體產生均勻的應力耗散對于松質骨是有利的。此外,傾斜載荷下應力分布更均勻的2#種植體在松質骨頂端應力集中處產生的Mises應力最小。
5、結論
1)對于一段式種植體,彈性模量較低的種植體在傾斜載荷下的承載能力明顯減弱,在骨組織中產生的應力更大。但Zr30Ti和Zr22Nb種植體及骨組織中的最大應力仍小于其強度,承載較大的皮質骨也具有良好的應用安全性。
2)隨著彈性模量的降低,一段式種植體頸部內部的應變區擴大,變形協調性增加,兩者共同促進了種植體向皮質骨的應力傳遞,減小了種植體-骨組織的界面應力差。
3)種植體彈性模量的降低促使松質骨中的應力向上部集中,中等彈性模量的材料(Zr30Ti和Zr22Nb)在松質骨中產生的應力分布更均勻。
參考文獻 References
[1] Niinomi M, Nakai M, Hieda J. Acta Biomaterialia[J], 2012, 8(11): 3888
[2] Sato E, Shigemitsu R, Mito T et al. Computers in Biology and Medicine[J], 2021, 129: 104173
[3] Geetha M, Singh A K, Asokamani R et al. Prog Mater Sci[J],2009, 54: 397
[4] Wang Shengnan(王勝難), Cui Yue(崔 躍), Yuan Zhishan(袁志山) et al. Rare Metal Materials and Engineering(稀有金屬材料與工程)[J], 2015, 44(2): 509
[5] Sun Chunchun(孫純純), Guo Zhijun(郭志君), Zhang Jinyong(張金勇) et al. Rare Metal Materials and Engineering(稀有金屬材料與工程)[J], 2022, 51(3): 1111
[6] Mehjabeen A, Song T, Xu W et al. Advanced Engineering Materials[J], 2018, 20(9): 1800207
[7] Luo Cong(羅 聰). Research on Preparation, Microstructure and Mechanical Properties of New Biomedical Zirconium Alloy[D]. Nanjing: Southeast University, 2024
[8] Liu Yangyang(劉楊楊). Investigation on Mechanical Properties and Bio-corrosion Resistance of Zr-2.5Nb Alloy Processed by Laser Shock Peening(激光沖擊Zr2.5Nb合金的力學性能及生物耐腐蝕性能的研究)[D]. Shenyang: Northeastern University, 2021[9] Jiang J, Zhou C, Zhao Y W et al. Journal of the Mechanical Behavior of Biomedical Materials[J], 2020, 112: 104048
[10] Hsu H C, Wu S C, Sung Y C et al. Journal of Alloys & Compounds[J], 2009, 488(1): 279
[11] Zhou Yunkai, Jing Ran, Ma Mingzhen et al. Chinese Physics Letters[J], 2013, 30(11): 3
[12] Kondo R, N mura N, Suyalatu et al. Acta Biomaterialia[J], 2011, 7(12): 4278
[13] Calì M, Zanetti E M, Oliveri S M et al. Dental Materials[J], 2018, 34(3): 460
[14] Jiang X Y, Yao Y T, Tang W M et al. Journal of Biomedical Materials Research Part A[J], 2020, 108(8): 1634
[15] Matsuzaki M, Ayukawa Y, Sakai N et al. Computer Methods in Biomechanics & Biomedical Engineering[J], 2018, 20(4): 393
[16] Bataineh K, Al Janaideh M. Clin Implant Dent Relat Res[J], 2019, 21(6): 1206
[17] Jiang Songji(江崧驥), Wu Yin(吳 音), Si Wenjie(司文捷). Rare Metal Materials and Engineering(稀有金屬材料與工程)[J], 2015, 44(S1): 387
[18] Fabris D, Moura J P A, Fredel M C et al. Journal of Biomedical Materials Research Part B: Applied Biomaterials[J], 2022, 110(1): 79
[19] Lopez C A V, Vasco M A A, Ruales E et al. Journal of Oral Implantology[J], 2018, 44(6): 409
[20] Vadiraj B, Rao P K, Kiran K K. Materials Today: Proceedings[J], 2023, 76: 564
[21] Li Hongbo(李鴻波), Yao Yueling(姚月玲). Chinese Journal of Prosthodontics(口腔頜面修復學雜志)[J], 2007, 8(3): 164
[22] Piotrowski B, Baptista A A, Patoor E et al. Materials Science and Engineering C[J], 2014, 38: 151
[23] Wang Rong(王 蓉). Mechanical Behavior of Dental Implant in Mandible and New Load-transfer Method by 3D FEA(下頜牙種植體力學行為及 3D FEA 新型載荷傳遞方式的有限元分 析)[D]. Chengdu: Sichuan University, 2005
[24] Huang Jia(黃 佳), Zheng Yang(鄭 旸), Song Xiaomeng(宋曉萌) et al. Stomatology(口腔醫學)[J], 2020, 40(5): 5
[25] Eijden T M V. Critical Reviews in Oral Biology & Medicine[J], 2000, 11(1): 123
[26] Lin D, Li Q, Li W et al. J Mech Behav Biomed Mater[J], 2009, 2(5): 410
[28] Ding X, Liao S H, Zhu X H et al. Materials & Design[J], 2015, 84(5): 144
[29] Huang H L, Hsu J T, Fuh L J et al. Computers in Biology & Medicine[J], 2010, 40(5): 525
[30] Zhang Chengxun(張成勛). Study on Efficient Meshless Method for Mechanical Analysis of Orthotropic Materials(正交各向異性材 料 力 學 分 析 的 高 效 無 網 格 法 研 究) [D]. Dalian: Dalian University of Technology, 2023
[31] Dhatrak P, Girme V, Shirsat U et al. Bio Nanoscience[J], 2019, 9: 652
[33] Ziaie B, Khalili S M R. Prosthesis[J], 2021, 3(4): 300
[34] Zhang Jianguo(張建國), Chen Chen(陳 晨), Hu Fengling(胡鳳玲) et al. Chinese Journal of Tissue Engineering Research(中國組織工程研究)[J], 2022, 26(4): 585
[35] Gao Wenbo(高文波), Ma Zongmin(馬宗民), Li Shuxian(李淑嫻) et al. Chinese Journal of Tissue Engineering Research(中國組織工程研究)[J], 2022, 26(6): 875
[36] Prados-Privado M, Martínez-Martínez C, Gehrke S A et al. Biology[J], 2020, 9(8): 224
[37] Tretto P H W, Santos M B F D, Spazzin A O et al. Computer Methods in Biomechanics and Biomedical Engineering[J], 2020, 23(8): 372
[38] Menacho-Mendoza E, Cedamanos-Cuenca R, Díaz-Suyo A. The Saudi Dental Journal[J], 2022, 34(7): 579[39] Avağ C, Akkocaoğlu M. Journal of Stomatology, Oral and Maxillofacial Surgery[J], 2023, 124(1): 101298
[40] Qin S Q, Gao Z. Computer Methods in Biomechanics and Biomedical Engineering[J], 2023, 26(12): 1499
[41] Kumar S C, Kapoor R, Khan D. Materials Today: Proceedings[J], 2022, 56: 1143
[42] Wang K, Geng J, Jones D et al. Mater Sci Eng C Mater Biol Appl[J], 2016, 63: 164
[43] Shemtov-Yona K, Rittel D. Journal of the Mechanical Behavior of Biomedical Materials[J], 2016, 62: 1
[44] Korabi R, Shemtov-Yona K, Rittel D. Clinical Implant Dentistry & Related Research[J], 2017, 5(19): 935
[45] Yu Yang( 俞 洋). Study on Connection Stability and Fatigue Performance of Dental Implants(牙種植體連接穩定性及疲勞性能研究)[D]. Shenyang: Northeastern University, 2018
[46] Jiang Yang( 姜 楊). Study of the Mechanical Properties of Denture and the Method of Evaluating Its Life Span(義齒力學特性及其壽命的評估方法研究)[D]. Wuxi: Jiangnan University, 2021
[47] Frost H M. Angle Orthod[J], 2004, 74(1): 3
[48] Jakub K, Barbara L, Joseph N et al. Coatings[J], 2021, 11(7): 865
[49] Tomas A, Pentti T, Luis A P et al. Clinical Implant Dentistry and Related Research[J], 2022, 24(4): 532
[50] Jimbo R, Halldin A, Janda M et al. Int J Oral MaxillofacImplants[J], 2013, 28(4): e171
[51] Kitamura E, Stegaroiu R, Nomura S et al. Journal of Oral Rehabilitation[J], 2005, 32(4): 279
[52] Alemayehu D B, Jeng Y R. Materials[J], 2021, 14(22): 6974
[53] Lv Yue( 呂 越), Xu Kan( 徐 侃), Wang Liqiang( 王 立 強) et al. Journal of Medical Biomechanics(醫用生物力學)[J], 2017, 32(4): 5
[54] Pirmoradian M, Naeeni H A, Firouzbakht M et al. Comput Methods Programs Biomed[J], 2020, 187: 105258
[55] Zhang J Y, Zhang X, Chen Y et al. Materials[J], 2021, 14(22): 6918
(注,原文標題:新型醫用鋯合金靜力加載有限元研究)
tag標簽:生物力學,牙科種植體,材料選擇,有限元分析,Zr30Ti,Zr22Nb,承載能力,骨重塑


